RUVIDEO
Поделитесь видео 🙏

Cumulative Distribution Function : Example | ExamSolutions смотреть онлайн

📁 Обучение 👁️ 23 📅 03.12.2023

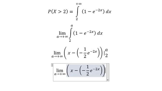
An example on the cumulative distribution function for a probability density function.
Playlist: https://www.youtube.com/playlist?list=PL5pdglZEO3Ng7elwTtx0ZY3btPLZNyzMR

YOUTUBE CHANNEL at https://www.youtube.com/ExamSolutions

EXAMSOLUTIONS WEBSITE at https://www.examsolutions.net/ where you will have access to all playlists covering pure maths, statistics and mechanics.

https://www.facebook.com/examsolutions.net/

NEW INSTAGRAM: https://www.instagram.com/examsolutionsguy/

TWITTER: https://twitter.com/ExamSolutions

PREDICTIVE GRADES PLATFORM

LEARN MORE AT: https://info.examsolutions.net/predictive-grades-platform

☑️ Accurate grade predictions
☑️ Personalised resources and tuition
☑️ Guaranteed results or get your money back

SIGN UP FOR A 7-DAY FREE TRIAL, THEN 20% OFF.
https://share-eu1.hsforms.com/1fDaMxdCUQi2ndGBDTMjnoAg25tk

ONLINE COURSES AT:
https://www.itutor.examsolutions.net/all-courses/

THE BEST THANK YOU: https://www.examsolutions.net/donation/

Что делает видео по-настоящему запоминающимся? Наверное, та самая атмосфера, которая заставляет забыть о времени. Когда вы заходите на RUVIDEO, чтобы посмотреть онлайн «Cumulative Distribution Function : Example | ExamSolutions» бесплатно и без регистрации, вы рассчитываете на нечто большее, чем просто загрузку плеера. И мы это понимаем. Контент такого уровня заслуживает того, чтобы его смотрели в HD 1080, без дрожания картинки и бесконечного буферизации.

Честно говоря, Rutube сегодня — это кладезь уникальных находок, которые часто теряются в общем шуме. Мы же вытаскиваем на поверхность самое интересное. Будь то динамичный экшн, глубокий разбор темы от любимого автора или просто уютное видео для настроения — всё это доступно здесь бесплатно и без лишних формальностей. Никаких «заполните анкету, чтобы продолжить». Только вы, ваш экран и качественный поток.

Если вас зацепило это видео, не забудьте взглянуть на похожие материалы в блоке справа. Мы откалибровали наши алгоритмы так, чтобы они подбирали контент не просто «по тегам», а по настроению и смыслу. Ведь в конечном итоге, онлайн-кинотеатр — это не склад файлов, а место, где каждый вечер можно найти свою историю. Приятного вам отдыха на RUVIDEO!

Видео взято из открытых источников Rutube. Если вы правообладатель, обратитесь к первоисточнику.