RUVIDEO
Поделитесь видео 🙏

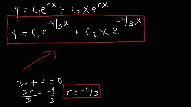
Solving second order differential equation in python

using odeint we will solve a second order differential equation (step-by-step guide [1/3] :)

Please let me know if you have any question, I will get back to you ASAP.

The equation used for density:
https://www.grc.nasa.gov/www/k-12/airplane/atmosmet.html

NOTE: the problem with the plot at the end of the video was that the time of flight for some values of theta was not enough, so the size of lists were different. Increase flighttime to 150 seconds and you are good to go ;-)

I will soon be simulating solar system using odeint, so stay tuned ;-)

Что делает видео по-настоящему запоминающимся? Наверное, та самая атмосфера, которая заставляет забыть о времени. Когда вы заходите на RUVIDEO, чтобы посмотреть онлайн «Solving second order differential equation in python», вы рассчитываете на нечто большее, чем просто загрузку плеера. И мы это понимаем. Контент такого уровня заслуживает того, чтобы его смотрели в HD 1080, без дрожания картинки и бесконечного буферизации.

Честно говоря, Rutube сегодня — это кладезь уникальных находок, которые часто теряются в общем шуме. Мы же вытаскиваем на поверхность самое интересное. Будь то динамичный экшн, глубокий разбор темы от любимого автора или просто уютное видео для настроения — всё это доступно здесь бесплатно и без лишних формальностей. Никаких «заполните анкету, чтобы продолжить». Только вы, ваш экран и качественный поток.

Если вас зацепило это видео, не забудьте взглянуть на похожие материалы в блоке справа. Мы откалибровали наши алгоритмы так, чтобы они подбирали контент не просто «по тегам», а по настроению и смыслу. Ведь в конечном итоге, онлайн-кинотеатр — это не склад файлов, а место, где каждый вечер можно найти свою историю. Приятного вам отдыха на RUVIDEO!

Видео взято из открытых источников Rutube. Если вы правообладатель, обратитесь к первоисточнику.