RUVIDEO
Поделитесь видео 🙏

Gradient Descent algorithm Simplified смотреть онлайн

- Gradient descent is an optimization algorithm used to obtain the optimized network weight and bias values

- It works by iteratively trying to minimize the cost function

- Gradient Descent algorithm works by calculating the gradient of the cost function and move in the negative direction until the local/global minimum is achieved. If the positive of the gradient is taken, local/global maximum is achieved.

- The size of the steps taken are called the learning rate. If learning rate increases, the area covered in the search space will increase so we might reach global minimum faster . However, we can overshoot the target.

- For small learning rates, training will take much longer to reach optimized weight values.

GRADIENT DESCENT WORKS AS FOLLOWS:

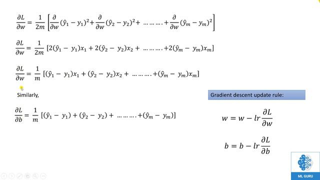
1. Calculate the gradient (derivative) of the Loss function ?????/??

2. Pick random values for weights (m, b) and substitute

3. Calculate the step size (how much are we going to update the parameters?)
???? ???? =???????? ????∗????????= ?∗?????/??

4. Update the parameters and repeat
??? ?????? = ??? ?????? –???? ????
?_???=?_(??? )−?∗?????/??

I hope you will enjoy this video and find it useful and informative.

Thanks and happy learning!
Ryan

#gradientdescent #deeplearning #machine learning #AI

Что делает видео по-настоящему запоминающимся? Наверное, та самая атмосфера, которая заставляет забыть о времени. Когда вы заходите на RUVIDEO, чтобы посмотреть онлайн «Gradient Descent algorithm Simplified» бесплатно и без регистрации, вы рассчитываете на нечто большее, чем просто загрузку плеера. И мы это понимаем. Контент такого уровня заслуживает того, чтобы его смотрели в HD 1080, без дрожания картинки и бесконечного буферизации.

Честно говоря, Rutube сегодня — это кладезь уникальных находок, которые часто теряются в общем шуме. Мы же вытаскиваем на поверхность самое интересное. Будь то динамичный экшн, глубокий разбор темы от любимого автора или просто уютное видео для настроения — всё это доступно здесь бесплатно и без лишних формальностей. Никаких «заполните анкету, чтобы продолжить». Только вы, ваш экран и качественный поток.

Если вас зацепило это видео, не забудьте взглянуть на похожие материалы в блоке справа. Мы откалибровали наши алгоритмы так, чтобы они подбирали контент не просто «по тегам», а по настроению и смыслу. Ведь в конечном итоге, онлайн-кинотеатр — это не склад файлов, а место, где каждый вечер можно найти свою историю. Приятного вам отдыха на RUVIDEO!

Видео взято из открытых источников Rutube. Если вы правообладатель, обратитесь к первоисточнику.