RUVIDEO
Поделитесь видео 🙏

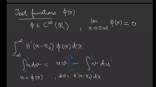
Heaviside Function смотреть онлайн

📁 Обучение 👁️ 18 📅 03.12.2023

Support the channel on Steady: https://steadyhq.com/en/brightsideofmaths
Or support me via PayPal: https://paypal.me/brightmaths
Or via Ko-fi: https://ko-fi.com/thebrightsideofmathematics
Or via Patreon: https://www.patreon.com/bsom
Or via other methods: https://thebrightsideofmathematics.com/support/

Watch the whole video series about Advent of Mathematical Symbols and download PDF versions and quizzes: https://tbsom.de/s/aoms
There is also a dark mode version of this video: https://youtu.be/eshN4oCYz7U.
There is also a bright mode version of this video: https://youtu.be/fstRjd2xBc8.

To find the YouTube-Playlist, click here for the bright version: https://youtube.com/playlist?list=PLBh2i93oe2qsygnSiFht0_A6Sc3qaqwfX
And click here for the dark version of the playlist: https://youtube.com/playlist?list=PLBh2i93oe2qvnNw4pmDURbMwf-FIs5htE

Thanks to all supporters! They are mentioned in the credits of the video :)

This is my video series about Advent of Mathematical Symbols. I hope that it will help everyone who wants to learn about it.

#AdventofMathematicalSymbols
#Analysis
#Calculus
#Mathematics

This is #Day22 in the series.

(This explanation fits to lectures for students in their first year of study: Mathematics for physicists, Mathematics for the natural science, Mathematics for engineers and so on)

Что делает видео по-настоящему запоминающимся? Наверное, та самая атмосфера, которая заставляет забыть о времени. Когда вы заходите на RUVIDEO, чтобы посмотреть онлайн «Heaviside Function» бесплатно и без регистрации, вы рассчитываете на нечто большее, чем просто загрузку плеера. И мы это понимаем. Контент такого уровня заслуживает того, чтобы его смотрели в HD 1080, без дрожания картинки и бесконечного буферизации.

Честно говоря, Rutube сегодня — это кладезь уникальных находок, которые часто теряются в общем шуме. Мы же вытаскиваем на поверхность самое интересное. Будь то динамичный экшн, глубокий разбор темы от любимого автора или просто уютное видео для настроения — всё это доступно здесь бесплатно и без лишних формальностей. Никаких «заполните анкету, чтобы продолжить». Только вы, ваш экран и качественный поток.

Если вас зацепило это видео, не забудьте взглянуть на похожие материалы в блоке справа. Мы откалибровали наши алгоритмы так, чтобы они подбирали контент не просто «по тегам», а по настроению и смыслу. Ведь в конечном итоге, онлайн-кинотеатр — это не склад файлов, а место, где каждый вечер можно найти свою историю. Приятного вам отдыха на RUVIDEO!

Видео взято из открытых источников Rutube. Если вы правообладатель, обратитесь к первоисточнику.