RUVIDEO

Задание №148 - ГДЗ по алгебре 7 класс (Мерзляк А.Г.) смотреть онлайн

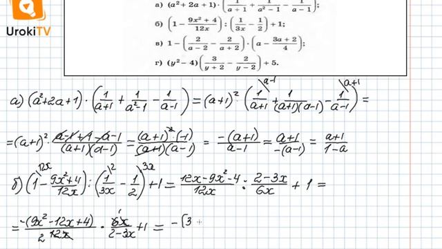
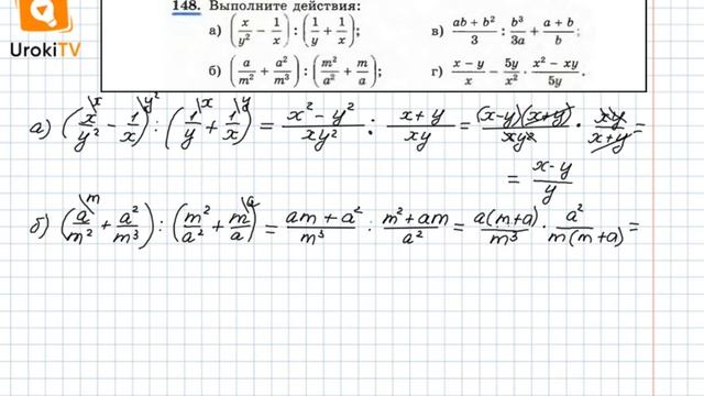
Другие решения смотри тут: https://urokitv.net/57-gdz-po-algebre-7-klass-merzlyak-a-g Urokitv.net это школьные учебники и решебники с 1-го по 11-й класс школы. Ждем ваших предложений и пожеланий. Если вам нравится, то что мы делаем расскажите про нас своим друзьям и одноклассникам. Чтобы выполнить задание № 148, в котором требуется сравнить выражения, нужно вспомнить материал 5-6 классов п.5, 9, расположенный на странице 237, 238, правила сравнения целых чисел. Выполнение этого задания займет минимум времени, а если вы воспользуетесь нашим видео-решением, то вам понадобится не больше 2 минут. Задание №148 - ГДЗ по алгебре 7 класс (Мерзляк А.Г.)
 
 
Рады приветствовать вас в нашем кинозале, у нас собрана огромнейшая база видео файлов и вы всегда сможете найти любой фильм на свой вкус и увидеть его совершенно бесплатно и не нужно регистрироваться. Онлайн просмотр кино стало любимым времяпрепровождением для все киноманов, ведь не всегда есть время, чтобы посетить кинотеатр, но мі собрали огромную базу видео и фильмов, сериалов, мультфильмов для онлайн просмотра. Ваш отдых - это наша работа, мы пополняем нашу базу регулярно и только лучшими и кассовыми фильмами, и все это у нас бесплатно и без регистрации. Наша задача обеспечить просмотр ваших любимых фильмов с максимальным комфортом, без рекламы и в любое удобное для Вас время. У нас собраны лучшее из коллекций всемирного кинематографа онлайн, вы можете смотреть фильмы бесплатно без регистрации , выбирая любимый фильм из нашей коллекции, которая включает в себя копии мировой классики и последние кино новинки. Все посетители выбирая наш сайт смогут найти киноленту по своему вкусу и начать просмотр с удовольствием. Для просмотра видео используются любые онлайн - браузеры установленные на вашем компьютере. Все, что необходимо, чтобы смотреть фильмы онлайн - это хорошее настроение! Не забываемого вам пребывания у нас в интернет-кинозале, онлайн кинотеатре ULTRADOX!

Недавно смотрели видео онлайн