RUVIDEO

Фундаментальная система решений системы линейных уравнений ФСР СЛАУ смотреть онлайн

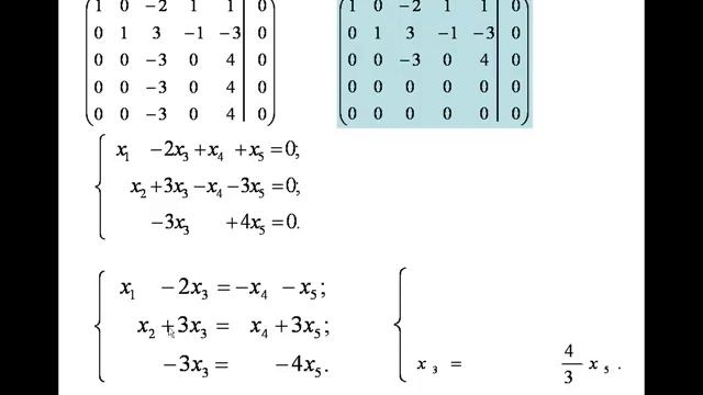
Как найти фундаментальную систему решений системы линейных уравнений. Разбираем на конкретных примерах. Видео: Общее, частное, базисное решение системы линейных уравнений Метод Гаусса https://www.youtube.com/watch?v=tNsjRIuqvXc&list=PLNpaFw5CAA7fokO8GWcF6zSvRlEymGPty&index=5 Метод Гаусса за 7 минут. Система линейных уравнений https://www.youtube.com/watch?v=uojEM2hH7Vk&list=PLNpaFw5CAA7fokO8GWcF6zSvRlEymGPty&index=3 Как найти ранг матрицы Три способа Разбор на конкретных примерах https://www.youtube.com/watch?v=LOPQ05xM3Ew&list=PLNpaFw5CAA7c0PRrtIIxIKVIAnJDDMpUM&index=3 Не понимаешь, как решать? Я могу помочь ? Вышли свое задание и получи подробное объяснение решения вместе с формулами и теорией. Теперь ты сам сможешь решать подобные задания ?? Подробности в ЛС https://vk.com/ulyana.polovinckina ************************************ Присоединяйся ко мне в социальных сетях: Группа ВК: https://vk.com/matematika.online VKONTAKTE: https://vk.com/ulyana.polovinckina ************************************
 
 
Рады приветствовать вас в нашем кинозале, у нас собрана огромнейшая база видео файлов и вы всегда сможете найти любой фильм на свой вкус и увидеть его совершенно бесплатно и не нужно регистрироваться. Онлайн просмотр кино стало любимым времяпрепровождением для все киноманов, ведь не всегда есть время, чтобы посетить кинотеатр, но мі собрали огромную базу видео и фильмов, сериалов, мультфильмов для онлайн просмотра. Ваш отдых - это наша работа, мы пополняем нашу базу регулярно и только лучшими и кассовыми фильмами, и все это у нас бесплатно и без регистрации. Наша задача обеспечить просмотр ваших любимых фильмов с максимальным комфортом, без рекламы и в любое удобное для Вас время. У нас собраны лучшее из коллекций всемирного кинематографа онлайн, вы можете смотреть фильмы бесплатно без регистрации , выбирая любимый фильм из нашей коллекции, которая включает в себя копии мировой классики и последние кино новинки. Все посетители выбирая наш сайт смогут найти киноленту по своему вкусу и начать просмотр с удовольствием. Для просмотра видео используются любые онлайн - браузеры установленные на вашем компьютере. Все, что необходимо, чтобы смотреть фильмы онлайн - это хорошее настроение! Не забываемого вам пребывания у нас в интернет-кинозале, онлайн кинотеатре ULTRADOX!

Недавно смотрели видео онлайн