RUVIDEO

Модуль. Неравенства с модулем. Знак меньше. Как решить неравенство с модулем? Алгебра 9, 10 класс. смотреть онлайн

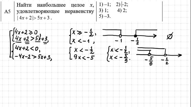
Алгебра 9 класс. Тест https://math.xfresh.info/index.php/9-klass/algebra-9-klass/53-algebra-9-klass-test Неравенства. Плейлист https://youtube.com/playlist?list=PLfRVnZ-lqOE-HKx3ZaLn9Kf2YM7SocmKf Решение неравенств с модулем. Знак меньше. Алгебра 9, 10 класс. Математика. Образование. Как раскрыть модуль? Неравенства с модулем. Модуль х меньше или равен а. Как определить знак с которым откроется модуль? Неравенства с 2-мя модулями. Как решить неравенства с 2-мя модулями? Выражение с модулем. Модуль меньше выражения с иксом. Задания с решением. Примеры с объяснением. Видеоуроки по математике. Алгебра видео уроки. Математика видео уроки. Устранение пробелов. Подготовка к ЗНО ( ВНО ) по математике. Подготовка к ДПА ( ГИА ) по математике. #Модуль #НеравенстваСмодулем #Алгебра9Класс #ВидеоурокиПоМатематике #ПодготовкаКЗНО #Математика #ВНОпоМатематике #ЕГЭ #ДПА #ГИА
 
 
Рады приветствовать вас в нашем кинозале, у нас собрана огромнейшая база видео файлов и вы всегда сможете найти любой фильм на свой вкус и увидеть его совершенно бесплатно и не нужно регистрироваться. Онлайн просмотр кино стало любимым времяпрепровождением для все киноманов, ведь не всегда есть время, чтобы посетить кинотеатр, но мі собрали огромную базу видео и фильмов, сериалов, мультфильмов для онлайн просмотра. Ваш отдых - это наша работа, мы пополняем нашу базу регулярно и только лучшими и кассовыми фильмами, и все это у нас бесплатно и без регистрации. Наша задача обеспечить просмотр ваших любимых фильмов с максимальным комфортом, без рекламы и в любое удобное для Вас время. У нас собраны лучшее из коллекций всемирного кинематографа онлайн, вы можете смотреть фильмы бесплатно без регистрации , выбирая любимый фильм из нашей коллекции, которая включает в себя копии мировой классики и последние кино новинки. Все посетители выбирая наш сайт смогут найти киноленту по своему вкусу и начать просмотр с удовольствием. Для просмотра видео используются любые онлайн - браузеры установленные на вашем компьютере. Все, что необходимо, чтобы смотреть фильмы онлайн - это хорошее настроение! Не забываемого вам пребывания у нас в интернет-кинозале, онлайн кинотеатре ULTRADOX!

Недавно смотрели видео онлайн