RUVIDEO

В-3 № 1-100 - Алгебра 7 класс Мерзляк дидактические материалы смотреть онлайн

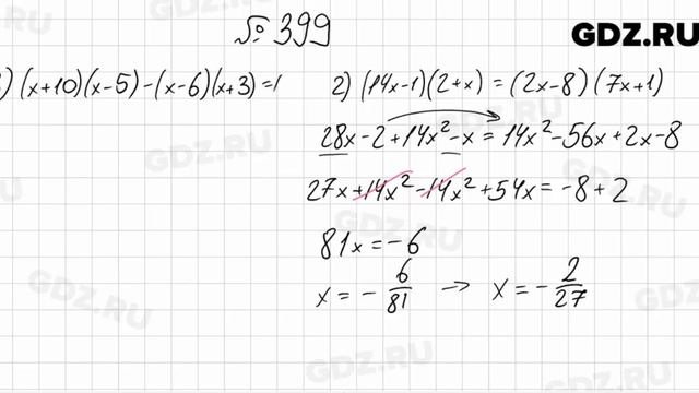
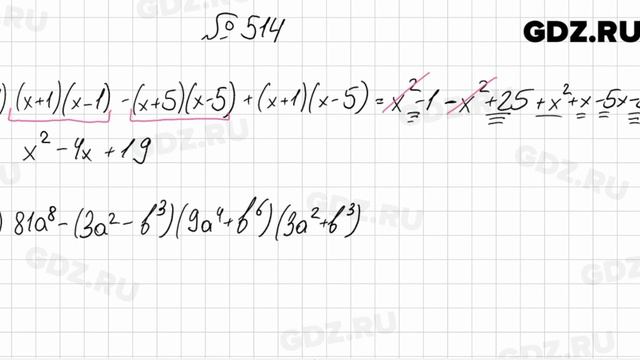
Видео решение к варианту 3, к номерам 1-100 по алгебре за 7 класс, авторов Мерзляк А.Г., Полонский В.Б., Рабинович Е.М., Якир М.С. ???Таймлайн в описании ??? Более подробное гдз к этому заданию можно найти здесь https://gdz.ru/class-7/algebra/didakticheskie-materiali-merzlyak/ 0:00:08 - № 1 Математика 7 класс Мерзляк 0:13:44 - № 2 Математика 7 класс Мерзляк 0:16:27 - № 3 Математика 7 класс Мерзляк 0:19:55 - № 4 Математика 7 класс Мерзляк 0:21:27 - № 5 Математика 7 класс Мерзляк 0:22:29 - № 6 Математика 7 класс Мерзляк 0:23:41 - № 7 Математика 7 класс Мерзляк 0:24:39 - № 8 Математика 7 класс Мерзляк 0:26:37 - № 9 Математика 7 класс Мерзляк 0:29:21 - № 10 Математика 7 класс Мерзляк 0:32:12 - № 11 Математика 7 класс Мерзляк 0:36:14 - № 12 Математика 7 класс Мерзляк 0:37:51 - № 13 Математика 7 класс Мерзляк 0:38:55 - № 14 Математика 7 класс Мерзляк 0:39:52 - № 15 Математика 7 класс Мерзляк 0:41:13 - № 16 Математика 7 класс Мерзляк 0:41:53 - № 17 Математика 7 класс Мерзляк 0:45:30 - № 18 Математика 7 класс Мерзляк 0:47:39 - № 19 Математика 7 класс Мерзляк 0:49:19 - № 20 Математика 7 класс Мерзляк 0:50:11 - № 21 Математика 7 класс Мерзляк 0:51:39 - № 22 Математика 7 класс Мерзляк 0:52:22 - № 23 Математика 7 класс Мерзляк 0:53:06 - № 24 Математика 7 класс Мерзляк 0:54:16 - № 25 Математика 7 класс Мерзляк 0:55:23 - № 26 Математика 7 класс Мерзляк 0:57:14 - № 27 Математика 7 класс Мерзляк 0:58:38 - № 28 Математика 7 класс Мерзляк 1:00:00 - № 29 Математика 7 класс Мерзляк 1:01:28 - № 30 Математика 7 класс Мерзляк 1:03:06 - № 31 Математика 7 класс Мерзляк 1:05:18 - № 32 Математика 7 класс Мерзляк 1:06:37 - № 33 Математика 7 класс Мерзляк 1:08:08 - № 34 Математика 7 класс Мерзляк 1:09:38 - № 35 Математика 7 класс Мерзляк 1:11:12 - № 36 Математика 7 класс Мерзляк 1:12:55 - № 37 Математика 7 класс Мерзляк 1:14:22 - № 38 Математика 7 класс Мерзляк 1:15:49 - № 39 Математика 7 класс Мерзляк 1:17:06 - № 40 Математика 7 класс Мерзляк 1:18:31 - № 41 Математика 7 класс Мерзляк 1:20:46 - № 42 Математика 7 класс Мерзляк 1:22:34 - № 43 Математика 7 класс Мерзляк 1:24:28 - № 44 Математика 7 класс Мерзляк 1:25:09 - № 45 Математика 7 класс Мерзляк 1:27:21 - № 46 Математика 7 класс Мерзляк 1:28:50 - № 47 Математика 7 класс Мерзляк 1:31:12 - № 48 Математика 7 класс Мерзляк 1:34:45 - № 49 Математика 7 класс Мерзляк 1:35:47 - № 50 Математика 7 класс Мерзляк 1:37:42 - № 51 Математика 7 класс Мерзляк 1:40:20 - № 52 Математика 7 класс Мерзляк 1:41:44 - № 53 Математика 7 класс Мерзляк 1:43:28 - № 54 Математика 7 класс Мерзляк 1:45:27 - № 55 Математика 7 класс Мерзляк 1:46:18 - № 56 Математика 7 класс Мерзляк 1:48:29 - № 57 Математика 7 класс Мерзляк 1:52:09 - № 58 Математика 7 класс Мерзляк 1:53:45 - № 59 Математика 7 класс Мерзляк 1:55:11 - № 60 Математика 7 класс Мерзляк 1:57:56 - № 61 Математика 7 класс Мерзляк 2:00:36 - № 62 Математика 7 класс Мерзляк 2:01:46 - № 63 Математика 7 класс Мерзляк 2:04:34 - № 64 Математика 7 класс Мерзляк 2:08:52 - № 65 Математика 7 класс Мерзляк 2:11:42 - № 66 Математика 7 класс Мерзляк 2:13:56 - № 67 Математика 7 класс Мерзляк 2:17:02 - № 68 Математика 7 класс Мерзляк 2:18:40 - № 69 Математика 7 класс Мерзляк 2:20:02 - № 70 Математика 7 класс Мерзляк 2:21:31 - № 71 Математика 7 класс Мерзляк 2:25:57 - № 72 Математика 7 класс Мерзляк 2:27:41 - № 73 Математика 7 класс Мерзляк 2:30:15 - № 74 Математика 7 класс Мерзляк 2:32:01 - № 75 Математика 7 класс Мерзляк 2:34:43 - № 76 Математика 7 класс Мерзляк 2:38:44 - № 77 Математика 7 класс Мерзляк 2:41:05 - № 78 Математика 7 класс Мерзляк 2:43:02 - № 79 Математика 7 класс Мерзляк 2:45:50 - № 80 Математика 7 класс Мерзляк 2:47:31 - № 81 Математика 7 класс Мерзляк 2:49:20 - № 82 Математика 7 класс Мерзляк 2:50:55 - № 83 Математика 7 класс Мерзляк 2:51:45 - № 84 Математика 7 класс Мерзляк 2:52:32 - № 85 Математика 7 класс Мерзляк 2:53:21 - № 86 Математика 7 класс Мерзляк 2:55:07 - № 87 Математика 7 класс Мерзляк 2:56:15 - № 88 Математика 7 класс Мерзляк 2:57:18 - № 89 Математика 7 класс Мерзляк 2:58:21 - № 90 Математика 7 класс Мерзляк 2:59:17 - № 91 Математика 7 класс Мерзляк 3:00:14 - № 92 Математика 7 класс Мерзляк 3:04:00 - № 93 Математика 7 класс Мерзляк 3:08:47 - № 94 Математика 7 класс Мерзляк 3:12:20 - № 95 Математика 7 класс Мерзляк 3:13:25 - № 96 Математика 7 класс Мерзляк 3:14:29 - № 97 Математика 7 класс Мерзляк 3:17:07 - № 98 Математика 7 класс Мерзляк 3:18:06 - № 99 Математика 7 класс Мерзляк 3:19:48 - № 100 Математика 7 класс Мерзляк
 
 
Рады приветствовать вас в нашем кинозале, у нас собрана огромнейшая база видео файлов и вы всегда сможете найти любой фильм на свой вкус и увидеть его совершенно бесплатно и не нужно регистрироваться. Онлайн просмотр кино стало любимым времяпрепровождением для все киноманов, ведь не всегда есть время, чтобы посетить кинотеатр, но мі собрали огромную базу видео и фильмов, сериалов, мультфильмов для онлайн просмотра. Ваш отдых - это наша работа, мы пополняем нашу базу регулярно и только лучшими и кассовыми фильмами, и все это у нас бесплатно и без регистрации. Наша задача обеспечить просмотр ваших любимых фильмов с максимальным комфортом, без рекламы и в любое удобное для Вас время. У нас собраны лучшее из коллекций всемирного кинематографа онлайн, вы можете смотреть фильмы бесплатно без регистрации , выбирая любимый фильм из нашей коллекции, которая включает в себя копии мировой классики и последние кино новинки. Все посетители выбирая наш сайт смогут найти киноленту по своему вкусу и начать просмотр с удовольствием. Для просмотра видео используются любые онлайн - браузеры установленные на вашем компьютере. Все, что необходимо, чтобы смотреть фильмы онлайн - это хорошее настроение! Не забываемого вам пребывания у нас в интернет-кинозале, онлайн кинотеатре ULTRADOX!

Недавно смотрели видео онлайн