RUVIDEO

17. Линейные неоднородные дифференциальные уравнения второго порядка с постоянными коэффициентами Ч2 смотреть онлайн

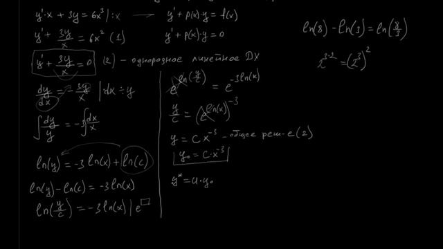
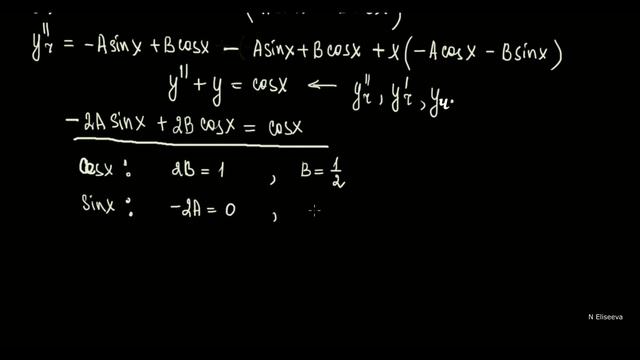
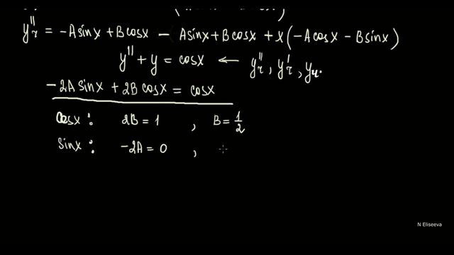
Продолжаем изучать линейные неоднородные дифференциальные уравнения второго порядка с постоянными коэффициентами и правой частью специального вида. Подробно решаю два примера. Обязательно посмотри, здесь это используется: 16. Линейные неоднородные дифференциальные уравнения второго порядка с постоянными коэффициентами. Часть 1. https://rutube.ru/video/4dd860669c8b2cef66265713c3fd9372/ 15. КАК искать общее решение линейного однородного дифференциального уравнения (yo)? Что такое характеристическое уравнение? https://rutube.ru/video/f527f1447efa970e0eb3b281ff18774c/ 1. Комплексные числа https://rutube.ru/video/42d8615740c939f377059c0b9e10f698/ Все видео по теме ДИФФЕРЕНЦИАЛЬНЫЕ УРАВНЕНИЯ здесь: https://rutube.ru/plst/482456 Видео по теме КОМПЛЕКСНЫЕ ЧИСЛА здесь: https://rutube.ru/plst/488368 Методы вычисления НЕОПРЕДЕЛЕННЫХ ИНТЕГРАЛОВ здесь: https://rutube.ru/plst/475303 Понравилось, помогло? Подпишись на канал! Там ещё много полезного. В качестве благодарности можно поставить лайк и оставить комментарий под видео. Спасибо за просмотр!!! #дифференциальные_уравнения #решение_дифференциальных #как_решать_дифференциальные #интегрирование_дифференциальных #диф_уравнения_с_постоянными_коэффициентами #частное_решение_неоднородного_уравнения #правая_часть_специального_вида #специальный_вид_правой_части #характеристическое_уравнение #линейное_неоднородное_дифференциальное_уравнение_2_порядка #общее_решение_линейного_неоднородного_дифференциального_уравнения #частное_решение_линейного_неоднородного_дифференциального_уравнения #матан #елисеева_математика #елисеева_диф_уравнения #eliseeva_дифференциальные_уравнения #елисеева_дифференциальные_уравнения #елисеева_дифуры #елисеева_рутуб #рутуб_елисеева #rutube_n_eliseeva #rutube_eliseeva #n_eliseeva_rutube #eliseeva_rutube #елисеева_высшая_математика #дифференциальные_уравнения_примеры_с_решением #дифференциальные_уравнения_виды_и_способы_решения #дифференциальные_уравнения_видеоурок #дифференциальные_уравнения_видео_уроки Примеры решения линейных неоднородных дифференциальных уравнений 2 порядка, линейные неоднородные дифференциальные уравнения второго порядка, ЛНДУ, как решить линейное дифференциальное уравнение второго порядка, способы решения дифференциальных уравнений второго порядка, дифференциальные уравнения, решение дифференциальных уравнений 2 порядка, порядок решения дифференциальных уравнений, общее решение дифференциального уравнения второго порядка, частное решение дифференциального уравнения, решить дифференциальное уравнение 2 порядка, дифференциальные уравнения второго порядка, обыкновенные дифференциальные уравнения второго порядка, обыкновенное дифференциальное уравнение, дифференциальное уравнение второго порядка, дифференциальные уравнения второго порядка, дифференциальные уравнения 2 порядка, методы решения дифференциальных уравнений второго порядка, линейное однородное дифференциальное уравнение второго порядка с постоянными коэффициентами, линейные однородные дифференциальные уравнения второго порядка с постоянными коэффициентами, общее решение линейного однородного дифференциального уравнения, общее решение линейного неоднородного дифференциального уравнения, частное решение линейного неоднородного дифференциального уравнения, линейное неоднородное дифференциальное уравнение второго порядка, характеристическое уравнение, правая часть специального вида, лнду, лоду.
 
 
Рады приветствовать вас в нашем кинозале, у нас собрана огромнейшая база видео файлов и вы всегда сможете найти любой фильм на свой вкус и увидеть его совершенно бесплатно и не нужно регистрироваться. Онлайн просмотр кино стало любимым времяпрепровождением для все киноманов, ведь не всегда есть время, чтобы посетить кинотеатр, но мі собрали огромную базу видео и фильмов, сериалов, мультфильмов для онлайн просмотра. Ваш отдых - это наша работа, мы пополняем нашу базу регулярно и только лучшими и кассовыми фильмами, и все это у нас бесплатно и без регистрации. Наша задача обеспечить просмотр ваших любимых фильмов с максимальным комфортом, без рекламы и в любое удобное для Вас время. У нас собраны лучшее из коллекций всемирного кинематографа онлайн, вы можете смотреть фильмы бесплатно без регистрации , выбирая любимый фильм из нашей коллекции, которая включает в себя копии мировой классики и последние кино новинки. Все посетители выбирая наш сайт смогут найти киноленту по своему вкусу и начать просмотр с удовольствием. Для просмотра видео используются любые онлайн - браузеры установленные на вашем компьютере. Все, что необходимо, чтобы смотреть фильмы онлайн - это хорошее настроение! Не забываемого вам пребывания у нас в интернет-кинозале, онлайн кинотеатре ULTRADOX!

Недавно смотрели видео онлайн