RUVIDEO

Теория Стр. 154 № 1-4 - Алгебра 8 класс Дорофеев смотреть онлайн

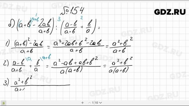
Видео решение к разделу "Теория" к странице 154, к номерам 1-4 по алгебре за 8 класс, авторов Г.В. Дорофеев, С.Б. Суворова, Е.А. Бунимович ???Таймлайн в описании ??? Более подробное гдз к этому заданию можно найти здесь https://gdz.ru/class-8/algebra/dorofeev/ 0:00:08 - № 1 Алгебра 8 класс Дорофеев 0:01:17 - № 2 Алгебра 8 класс Дорофеев 0:02:33 - № 3 Алгебра 8 класс Дорофеев 0:03:36 - № 4 Алгебра 8 класс Дорофеев
 
 
Рады приветствовать вас в нашем кинозале, у нас собрана огромнейшая база видео файлов и вы всегда сможете найти любой фильм на свой вкус и увидеть его совершенно бесплатно и не нужно регистрироваться. Онлайн просмотр кино стало любимым времяпрепровождением для все киноманов, ведь не всегда есть время, чтобы посетить кинотеатр, но мі собрали огромную базу видео и фильмов, сериалов, мультфильмов для онлайн просмотра. Ваш отдых - это наша работа, мы пополняем нашу базу регулярно и только лучшими и кассовыми фильмами, и все это у нас бесплатно и без регистрации. Наша задача обеспечить просмотр ваших любимых фильмов с максимальным комфортом, без рекламы и в любое удобное для Вас время. У нас собраны лучшее из коллекций всемирного кинематографа онлайн, вы можете смотреть фильмы бесплатно без регистрации , выбирая любимый фильм из нашей коллекции, которая включает в себя копии мировой классики и последние кино новинки. Все посетители выбирая наш сайт смогут найти киноленту по своему вкусу и начать просмотр с удовольствием. Для просмотра видео используются любые онлайн - браузеры установленные на вашем компьютере. Все, что необходимо, чтобы смотреть фильмы онлайн - это хорошее настроение! Не забываемого вам пребывания у нас в интернет-кинозале, онлайн кинотеатре ULTRADOX!

Недавно смотрели видео онлайн