RUVIDEO

№ 301-400 - Алгебра 8 класс Макарычев смотреть онлайн

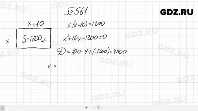
Видео решение к номерам 301-400 по алгебре за 8 класс, авторов Ю.Н. Макарычев, Н.Г. Миндюк, К.И. Нешков, С.Б. Суворова Таймлайн в описании Более подробное гдз к этому заданию можно найти здесь https://gdz.ru/class-8/algebra/makarychev-8/ 0:00:08 - № 301 Алгебра 8 класс Макарычев 0:01:09 - № 302 Алгебра 8 класс Макарычев 0:05:34 - № 303 Алгебра 8 класс Макарычев 0:06:57 - № 304 Алгебра 8 класс Макарычев 0:09:06 - № 305 Алгебра 8 класс Макарычев 0:11:41 - № 306 Алгебра 8 класс Макарычев 0:13:13 - № 307 Алгебра 8 класс Макарычев 0:15:57 - № 308 Алгебра 8 класс Макарычев 0:17:42 - № 309 Алгебра 8 класс Макарычев 0:19:07 - № 310 Алгебра 8 класс Макарычев 0:20:16 - № 311 Алгебра 8 класс Макарычев 0:21:56 - № 312 Алгебра 8 класс Макарычев 0:23:07 - № 313 Алгебра 8 класс Макарычев 0:25:09 - № 314 Алгебра 8 класс Макарычев 0:26:48 - № 315 Алгебра 8 класс Макарычев 0:33:36 - № 316 Алгебра 8 класс Макарычев 0:39:31 - № 317 Алгебра 8 класс Макарычев 0:42:41 - № 318 Алгебра 8 класс Макарычев 0:43:45 - № 319 Алгебра 8 класс Макарычев 0:44:57 - № 320 Алгебра 8 класс Макарычев 0:46:27 - № 321 Алгебра 8 класс Макарычев 0:50:08 - № 322 Алгебра 8 класс Макарычев 0:52:22 - № 323 Алгебра 8 класс Макарычев 0:54:52 - № 324 Алгебра 8 класс Макарычев 0:56:56 - № 325 Алгебра 8 класс Макарычев 0:58:38 - № 326 Алгебра 8 класс Макарычев 0:59:51 - № 327 Алгебра 8 класс Макарычев 1:00:51 - № 328 Алгебра 8 класс Макарычев 1:02:02 - № 329 Алгебра 8 класс Макарычев 1:03:39 - № 330 Алгебра 8 класс Макарычев 1:05:30 - № 331 Алгебра 8 класс Макарычев 1:07:25 - № 332 Алгебра 8 класс Макарычев 1:08:58 - № 333 Алгебра 8 класс Макарычев 1:11:01 - № 334 Алгебра 8 класс Макарычев 1:13:51 - № 335 Алгебра 8 класс Макарычев 1:17:07 - № 336 Алгебра 8 класс Макарычев 1:18:40 - № 337 Алгебра 8 класс Макарычев 1:21:01 - № 338 Алгебра 8 класс Макарычев 1:22:56 - № 339 Алгебра 8 класс Макарычев 1:24:06 - № 340 Алгебра 8 класс Макарычев 1:25:30 - № 341 Алгебра 8 класс Макарычев 1:26:13 - № 342 Алгебра 8 класс Макарычев 1:27:20 - № 343 Алгебра 8 класс Макарычев 1:28:31 - № 344 Алгебра 8 класс Макарычев 1:30:21 - № 345 Алгебра 8 класс Макарычев 1:31:48 - № 346 Алгебра 8 класс Макарычев 1:33:39 - № 347 Алгебра 8 класс Макарычев 1:35:18 - № 348 Алгебра 8 класс Макарычев 1:38:07 - № 349 Алгебра 8 класс Макарычев 1:40:08 - № 350 Алгебра 8 класс Макарычев 1:41:57 - № 351 Алгебра 8 класс Макарычев 1:44:12 - № 352 Алгебра 8 класс Макарычев 1:45:33 - № 353 Алгебра 8 класс Макарычев 1:46:39 - № 354 Алгебра 8 класс Макарычев 1:47:28 - № 355 Алгебра 8 класс Макарычев 1:52:22 - № 356 Алгебра 8 класс Макарычев 1:57:08 - № 357 Алгебра 8 класс Макарычев 1:58:27 - № 358 Алгебра 8 класс Макарычев 1:59:43 - № 359 Алгебра 8 класс Макарычев 2:01:13 - № 360 Алгебра 8 класс Макарычев 2:06:15 - № 361 Алгебра 8 класс Макарычев 2:07:53 - № 362 Алгебра 8 класс Макарычев 2:12:24 - № 363 Алгебра 8 класс Макарычев 2:14:17 - № 364 Алгебра 8 класс Макарычев 2:16:10 - № 365 Алгебра 8 класс Макарычев 2:19:01 - № 366 Алгебра 8 класс Макарычев 2:21:26 - № 367 Алгебра 8 класс Макарычев 2:22:35 - № 368 Алгебра 8 класс Макарычев 2:23:48 - № 369 Алгебра 8 класс Макарычев 2:25:26 - № 370 Алгебра 8 класс Макарычев 2:26:52 - № 371 Алгебра 8 класс Макарычев 2:28:15 - № 372 Алгебра 8 класс Макарычев 2:31:04 - № 373 Алгебра 8 класс Макарычев 2:32:59 - № 374 Алгебра 8 класс Макарычев 2:36:37 - № 375 Алгебра 8 класс Макарычев 2:38:49 - № 376 Алгебра 8 класс Макарычев 2:42:26 - № 377 Алгебра 8 класс Макарычев 2:45:55 - № 378 Алгебра 8 класс Макарычев 2:46:53 - № 379 Алгебра 8 класс Макарычев 2:47:36 - № 380 Алгебра 8 класс Макарычев 2:49:02 - № 381 Алгебра 8 класс Макарычев 2:55:22 - № 382 Алгебра 8 класс Макарычев 2:57:09 - № 383 Алгебра 8 класс Макарычев 2:59:41 - № 384 Алгебра 8 класс Макарычев 3:01:21 - № 385 Алгебра 8 класс Макарычев 3:03:59 - № 386 Алгебра 8 класс Макарычев 3:05:54 - № 387 Алгебра 8 класс Макарычев 3:08:51 - № 388 Алгебра 8 класс Макарычев 3:09:46 - № 389 Алгебра 8 класс Макарычев 3:11:14 - № 390 Алгебра 8 класс Макарычев 3:12:44 - № 391 Алгебра 8 класс Макарычев 3:13:45 - № 392 Алгебра 8 класс Макарычев 3:15:59 - № 393 Алгебра 8 класс Макарычев 3:17:21 - № 394 Алгебра 8 класс Макарычев 3:19:24 - № 395 Алгебра 8 класс Макарычев 3:20:32 - № 396 Алгебра 8 класс Макарычев 3:22:14 - № 397 Алгебра 8 класс Макарычев 3:23:35 - № 398 Алгебра 8 класс Макарычев 3:25:28 - № 399 Алгебра 8 класс Макарычев 3:27:57 - № 400 Алгебра 8 класс Макарычев
 
 
Рады приветствовать вас в нашем кинозале, у нас собрана огромнейшая база видео файлов и вы всегда сможете найти любой фильм на свой вкус и увидеть его совершенно бесплатно и не нужно регистрироваться. Онлайн просмотр кино стало любимым времяпрепровождением для все киноманов, ведь не всегда есть время, чтобы посетить кинотеатр, но мі собрали огромную базу видео и фильмов, сериалов, мультфильмов для онлайн просмотра. Ваш отдых - это наша работа, мы пополняем нашу базу регулярно и только лучшими и кассовыми фильмами, и все это у нас бесплатно и без регистрации. Наша задача обеспечить просмотр ваших любимых фильмов с максимальным комфортом, без рекламы и в любое удобное для Вас время. У нас собраны лучшее из коллекций всемирного кинематографа онлайн, вы можете смотреть фильмы бесплатно без регистрации , выбирая любимый фильм из нашей коллекции, которая включает в себя копии мировой классики и последние кино новинки. Все посетители выбирая наш сайт смогут найти киноленту по своему вкусу и начать просмотр с удовольствием. Для просмотра видео используются любые онлайн - браузеры установленные на вашем компьютере. Все, что необходимо, чтобы смотреть фильмы онлайн - это хорошее настроение! Не забываемого вам пребывания у нас в интернет-кинозале, онлайн кинотеатре ULTRADOX!

Недавно смотрели видео онлайн