RUVIDEO

§3 № 1-100 - Математика 6 класс Виленкин смотреть онлайн

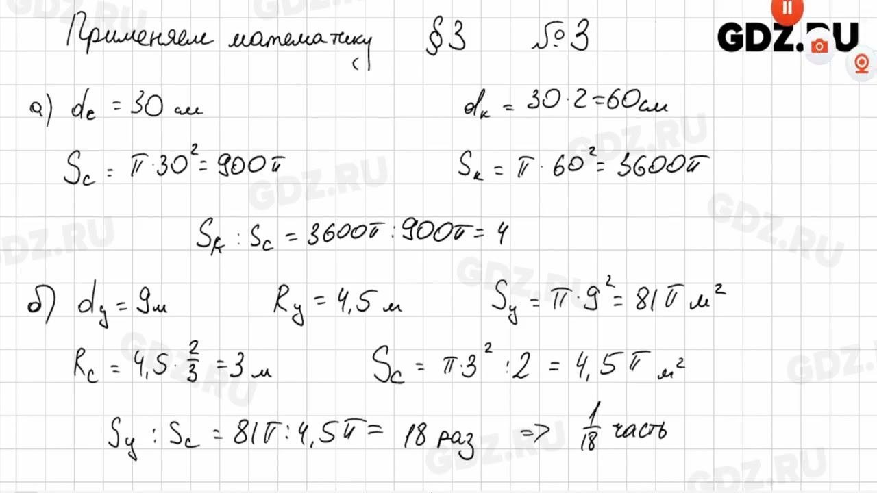
Видео решение к параграфу 3, к номерам 1-100 по математике за 6 класс, авторов Н.Я. Виленкин, В.И. Жохов, А.С. Чесноков, Л.А. Александрова, С.И.Шварцбурд Таймлайн и подарок для ВАС в описании Более подробное гдз к этому заданию можно найти здесь https://gdz.ru/class-6/matematika/vilenkin-shvacburd/ 0:00:08 - № 1 Математика 6 класс Виленкин 0:01:27 - № 2 Математика 6 класс Виленкин 0:03:22 - № 3 Математика 6 класс Виленкин 0:05:10 - № 4 Математика 6 класс Виленкин 0:06:19 - № 5 Математика 6 класс Виленкин 0:08:08 - № 6 Математика 6 класс Виленкин 0:09:02 - № 7 Математика 6 класс Виленкин 0:11:10 - № 8 Математика 6 класс Виленкин 0:11:48 - № 9 Математика 6 класс Виленкин 0:13:07 - № 10 Математика 6 класс Виленкин 0:14:11 - № 11 Математика 6 класс Виленкин 0:15:56 - № 12 Математика 6 класс Виленкин 0:17:41 - № 13 Математика 6 класс Виленкин 0:19:12 - № 14 Математика 6 класс Виленкин 0:20:14 - № 15 Математика 6 класс Виленкин 0:21:40 - № 16 Математика 6 класс Виленкин 0:23:52 - № 17 Математика 6 класс Виленкин 0:25:58 - № 18 Математика 6 класс Виленкин 0:29:15 - № 19 Математика 6 класс Виленкин 0:31:07 - № 20 Математика 6 класс Виленкин 0:34:28 - № 21 Математика 6 класс Виленкин 0:36:13 - № 22 Математика 6 класс Виленкин 0:37:34 - № 23 Математика 6 класс Виленкин 0:39:38 - № 24 Математика 6 класс Виленкин 0:40:24 - № 25 Математика 6 класс Виленкин 0:42:00 - № 26 Математика 6 класс Виленкин 0:45:37 - № 27 Математика 6 класс Виленкин 0:46:51 - № 28 Математика 6 класс Виленкин 0:48:39 - № 29 Математика 6 класс Виленкин 0:50:34 - № 30 Математика 6 класс Виленкин 0:52:10 - № 31 Математика 6 класс Виленкин 0:53:10 - № 32 Математика 6 класс Виленкин 0:53:49 - № 33 Математика 6 класс Виленкин 0:55:11 - № 34 Математика 6 класс Виленкин 0:57:19 - № 35 Математика 6 класс Виленкин 0:58:31 - № 36 Математика 6 класс Виленкин 1:00:24 - № 37 Математика 6 класс Виленкин 1:01:32 - № 38 Математика 6 класс Виленкин 1:07:29 - № 39 Математика 6 класс Виленкин 1:09:35 - № 40 Математика 6 класс Виленкин 1:10:21 - № 41 Математика 6 класс Виленкин 1:14:46 - № 42 Математика 6 класс Виленкин 1:18:32 - № 43 Математика 6 класс Виленкин 1:22:02 - № 44 Математика 6 класс Виленкин 1:24:14 - № 45 Математика 6 класс Виленкин 1:28:55 - № 46 Математика 6 класс Виленкин 1:30:55 - № 47 Математика 6 класс Виленкин 1:33:54 - № 48 Математика 6 класс Виленкин 1:35:10 - № 49 Математика 6 класс Виленкин 1:36:50 - № 50 Математика 6 класс Виленкин 1:37:28 - № 51 Математика 6 класс Виленкин 1:38:54 - № 52 Математика 6 класс Виленкин 1:40:34 - № 53 Математика 6 класс Виленкин 1:41:18 - № 54 Математика 6 класс Виленкин 1:42:28 - № 55 Математика 6 класс Виленкин 1:44:02 - № 56 Математика 6 класс Виленкин 1:45:39 - № 57 Математика 6 класс Виленкин 1:47:07 - № 58 Математика 6 класс Виленкин 1:51:19 - № 59 Математика 6 класс Виленкин 1:52:33 - № 60 Математика 6 класс Виленкин 1:54:21 - № 61 Математика 6 класс Виленкин 1:55:35 - № 62 Математика 6 класс Виленкин 2:00:01 - № 63 Математика 6 класс Виленкин 2:04:57 - № 64 Математика 6 класс Виленкин 2:06:11 - № 65 Математика 6 класс Виленкин 2:07:28 - № 66 Математика 6 класс Виленкин 2:08:22 - № 67 Математика 6 класс Виленкин 2:09:42 - № 68 Математика 6 класс Виленкин 2:10:41 - № 69 Математика 6 класс Виленкин 2:11:54 - № 70 Математика 6 класс Виленкин 2:13:19 - № 71 Математика 6 класс Виленкин 2:14:44 - № 72 Математика 6 класс Виленкин 2:15:49 - № 73 Математика 6 класс Виленкин 2:17:09 - № 74 Математика 6 класс Виленкин 2:18:29 - № 75 Математика 6 класс Виленкин 2:19:39 - № 76 Математика 6 класс Виленкин 2:22:45 - № 77 Математика 6 класс Виленкин 2:24:15 - № 78 Математика 6 класс Виленкин 2:24:51 - № 79 Математика 6 класс Виленкин 2:25:33 - № 80 Математика 6 класс Виленкин 2:28:30 - № 81 Математика 6 класс Виленкин 2:30:43 - № 82 Математика 6 класс Виленкин 2:31:35 - № 83 Математика 6 класс Виленкин 2:33:18 - № 84 Математика 6 класс Виленкин 2:36:19 - № 85 Математика 6 класс Виленкин 2:38:08 - № 86 Математика 6 класс Виленкин 2:38:44 - № 87 Математика 6 класс Виленкин 2:39:39 - № 88 Математика 6 класс Виленкин 2:40:56 - № 89 Математика 6 класс Виленкин 2:44:58 - № 90 Математика 6 класс Виленкин 2:46:46 - № 91 Математика 6 класс Виленкин 2:48:49 - № 92 Математика 6 класс Виленкин 2:51:33 - № 93 Математика 6 класс Виленкин 2:52:37 - № 94 Математика 6 класс Виленкин 2:53:38 - № 95 Математика 6 класс Виленкин 2:54:49 - № 96 Математика 6 класс Виленкин 2:56:31 - № 97 Математика 6 класс Виленкин 2:57:33 - № 98 Математика 6 класс Виленкин 2:58:35 - № 99 Математика 6 класс Виленкин 2:59:26 - № 100 Математика 6 класс Виленкин
 
 
Рады приветствовать вас в нашем кинозале, у нас собрана огромнейшая база видео файлов и вы всегда сможете найти любой фильм на свой вкус и увидеть его совершенно бесплатно и не нужно регистрироваться. Онлайн просмотр кино стало любимым времяпрепровождением для все киноманов, ведь не всегда есть время, чтобы посетить кинотеатр, но мі собрали огромную базу видео и фильмов, сериалов, мультфильмов для онлайн просмотра. Ваш отдых - это наша работа, мы пополняем нашу базу регулярно и только лучшими и кассовыми фильмами, и все это у нас бесплатно и без регистрации. Наша задача обеспечить просмотр ваших любимых фильмов с максимальным комфортом, без рекламы и в любое удобное для Вас время. У нас собраны лучшее из коллекций всемирного кинематографа онлайн, вы можете смотреть фильмы бесплатно без регистрации , выбирая любимый фильм из нашей коллекции, которая включает в себя копии мировой классики и последние кино новинки. Все посетители выбирая наш сайт смогут найти киноленту по своему вкусу и начать просмотр с удовольствием. Для просмотра видео используются любые онлайн - браузеры установленные на вашем компьютере. Все, что необходимо, чтобы смотреть фильмы онлайн - это хорошее настроение! Не забываемого вам пребывания у нас в интернет-кинозале, онлайн кинотеатре ULTRADOX!

Недавно смотрели видео онлайн