RUVIDEO

4. Показательная форма комплексного числа смотреть онлайн

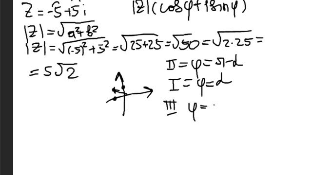
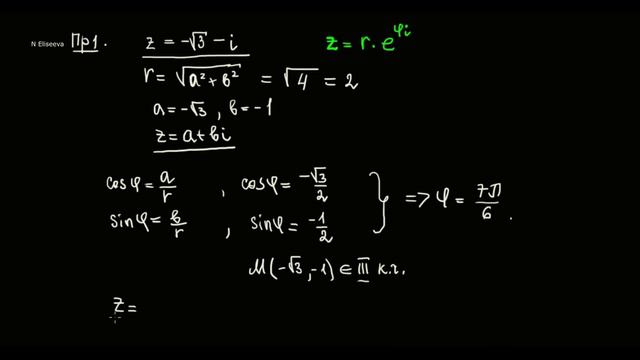
Показательная форма записи комплексного числа. Действия над комплексными числами в показательной форме. Решаем пять типовых примеров на показательную форму комплексного числа с подробным объяснением. Здесь используется материал предыдущих видео: 1. Определение комплексного числа. Действия над комплексными числами https://rutube.ru/video/42d8615740c939f377059c0b9e10f698/ 2. Геометрическая интерпретация комплексного числа. Модуль и аргумент комплексного числа https://rutube.ru/video/5fec40a47c3d59b12da1d7a4a9d10b44/ 3. Тригонометрическая форма записи комплексного числа https://rutube.ru/video/51b12547a5ef97da70713f82bf2bd1f7/ Загляни на канал и ПОДПИШИСЬ ! Там ещё много полезного, ОБЯЗАТЕЛЬНО ПРИГОДИТСЯ !!! Спасибо за просмотр! . . . #комплексное_число #комплексные_числа #комплексные_числа_для_чайников #что_такое_комплексные_числа #действия_над_комплексными_числами #действительная_часть_комплексного_числа #множество_комплексных_чисел #мнимая_единица #число_i #модуль_и_аргумент_комплексного_числа #показательная_форма_комплексного_числа #формы_записи_комплексного_числа #формы_записи_комплексных_чисел #действия_над_комплексными_числами #действительная_часть #мнимая_часть #корень_из_комплексного_числа #возведение_в_степень_комплексного_числа #умножение_комплексных_чисел #сложение_комплексных_чисел_в_показательной_форме #деление_комплексных_чисел #тригонометрическая_форма #алгебраическая_форма #формула_Эйлера #корень_из_минус_единицы #алгебраическая_форма_комплексного_числа #мнимая_часть_числа #чисто_мнимое_число #как_решать_уравнения_с_отрицательным_дискриминантом #комплексные_корни_квадратного_уравнения #степени_i #a+bi #i_в_степени #мнимая_ось #мнимая_часть_комплексного_числа #complex_number #What_is_a_complex_number_with_an_example #What_is_a_complex_number #Is_7_a_complex_number #Why_is_3_a_complex_number #complex_numbers #Complex_Numbers_Definition_Formulas_Examples #высшая_математика #высшая_математика_видеоуроки #высшая_математика_с_нуля #высшая_математика_1_курс #матан #елисеева_математика #елисеева_комплексные_числа #н_елисеева #елисеева_рутуб #рутуб_елисеева #rutube_n_eliseeva #rutube_eliseeva #n_eliseeva_rutube #eliseeva_rutube #лекции_по_матанализу
 
 
Рады приветствовать вас в нашем кинозале, у нас собрана огромнейшая база видео файлов и вы всегда сможете найти любой фильм на свой вкус и увидеть его совершенно бесплатно и не нужно регистрироваться. Онлайн просмотр кино стало любимым времяпрепровождением для все киноманов, ведь не всегда есть время, чтобы посетить кинотеатр, но мі собрали огромную базу видео и фильмов, сериалов, мультфильмов для онлайн просмотра. Ваш отдых - это наша работа, мы пополняем нашу базу регулярно и только лучшими и кассовыми фильмами, и все это у нас бесплатно и без регистрации. Наша задача обеспечить просмотр ваших любимых фильмов с максимальным комфортом, без рекламы и в любое удобное для Вас время. У нас собраны лучшее из коллекций всемирного кинематографа онлайн, вы можете смотреть фильмы бесплатно без регистрации , выбирая любимый фильм из нашей коллекции, которая включает в себя копии мировой классики и последние кино новинки. Все посетители выбирая наш сайт смогут найти киноленту по своему вкусу и начать просмотр с удовольствием. Для просмотра видео используются любые онлайн - браузеры установленные на вашем компьютере. Все, что необходимо, чтобы смотреть фильмы онлайн - это хорошее настроение! Не забываемого вам пребывания у нас в интернет-кинозале, онлайн кинотеатре ULTRADOX!

Недавно смотрели видео онлайн