RUVIDEO

Автор / Канал: Геометрия задачи и решения Страница 12

Геометрия Диагонали AC и BD трапеции ABCD пересекаются в точке O. Площади треугольников AOD и BOC смотреть онлайн
06:36

Геометрия Диагонали AC и BD трапеции ABCD пересекаются в точке O. Площади треугольников AOD и BOC

Геометрия задачи и решения 978 просмотров
№480. Найдите площадь трапеции ABCD с основаниями АВ и CD, если: смотреть онлайн
04:46

№480. Найдите площадь трапеции ABCD с основаниями АВ и CD, если:

Геометрия задачи и решения 2005 просмотров
№91. Периметр треугольника равен 48 см, а одна из сторон равна 18 см. Найдите две другие смотреть онлайн
02:27

№91. Периметр треугольника равен 48 см, а одна из сторон равна 18 см. Найдите две другие

Геометрия задачи и решения 1252 просмотров
№242. Основанием пирамиды является квадрат, одно из боковых ребер перпендикулярно к плоскости смотреть онлайн
08:23

№242. Основанием пирамиды является квадрат, одно из боковых ребер перпендикулярно к плоскости

Геометрия задачи и решения 710 просмотров
Геометрия В остроугольном треугольнике ABC точки A, C, точка пересечения высот H и центр вписанной смотреть онлайн
05:02

Геометрия В остроугольном треугольнике ABC точки A, C, точка пересечения высот H и центр вписанной

Геометрия задачи и решения 449 просмотров
Геометрия Медиана равностороннего треугольника равна 9v3. Найдите его сторону. смотреть онлайн
02:04

Геометрия Медиана равностороннего треугольника равна 9v3. Найдите его сторону.

Геометрия задачи и решения 501 просмотров
Натуральная величина треугольника (метод вращения) смотреть онлайн
07:18

Натуральная величина треугольника (метод вращения)

Геометрия задачи и решения 1784 просмотров
№681. Серединный перпендикуляр к стороне АВ равнобедренного треугольника ABC пересекает смотреть онлайн
02:50

№681. Серединный перпендикуляр к стороне АВ равнобедренного треугольника ABC пересекает

Геометрия задачи и решения 774 просмотров
№493. Найдите сторону и площадь ромба, если его диагонали равны 10 см и 24 см. смотреть онлайн
01:44

№493. Найдите сторону и площадь ромба, если его диагонали равны 10 см и 24 см.

Геометрия задачи и решения 1347 просмотров
№223. Через два противолежащих ребра куба проведено сечение, площадь которого равна 64 √2 см2. смотреть онлайн
03:09

№223. Через два противолежащих ребра куба проведено сечение, площадь которого равна 64 √2 см2.

Геометрия задачи и решения 349 просмотров
№201. Сумма накрест лежащих углов при пересечении двух параллельных прямых секущей равна 210 смотреть онлайн
01:12

№201. Сумма накрест лежащих углов при пересечении двух параллельных прямых секущей равна 210

Геометрия задачи и решения 1815 просмотров
№535. Докажите, что биссектриса треугольника делит противоположную сторону на отрезки, смотреть онлайн
03:20

№535. Докажите, что биссектриса треугольника делит противоположную сторону на отрезки,

Геометрия задачи и решения 274 просмотров
Найдите большую диагональ ромба, сторона которого равна корень из 3, а острый угол равен 60 градуса смотреть онлайн
03:14

Найдите большую диагональ ромба, сторона которого равна корень из 3, а острый угол равен 60 градуса

Геометрия задачи и решения 760 просмотров
№111. На рисунке 65 CD = BD, ∠1=∠2. Докажите, что треугольник ABC равнобедренный. смотреть онлайн
01:30

№111. На рисунке 65 CD = BD, ∠1=∠2. Докажите, что треугольник ABC равнобедренный.

Геометрия задачи и решения 519 просмотров
№784. В паралеллограмме ABCD диагонали пересекаются в точке О, а М— точка на стороне AD, такая, смотреть онлайн
06:39

№784. В паралеллограмме ABCD диагонали пересекаются в точке О, а М— точка на стороне AD, такая,

Геометрия задачи и решения 1083 просмотров
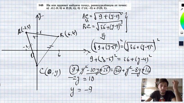
№948. На оси ординат найдите точку, равноудаленную от точек: а) А (-3; 5) смотреть онлайн
07:32

№948. На оси ординат найдите точку, равноудаленную от точек: а) А (-3; 5)

Геометрия задачи и решения 643 просмотров
№462. Сторона ромба равна 6 см, а один из углов равен 150°. Найдите площадь ромба. смотреть онлайн
01:51

№462. Сторона ромба равна 6 см, а один из углов равен 150°. Найдите площадь ромба.

Геометрия задачи и решения 1000 просмотров
Хорда АВ стягивает дугу окружности в 40 градусов. Найдите угол АВС между этой хордой и касательной. смотреть онлайн
03:34

Хорда АВ стягивает дугу окружности в 40 градусов. Найдите угол АВС между этой хордой и касательной.

Геометрия задачи и решения 649 просмотров
В треугольнике АВС угол С равен 90°, СН — высота, BC = 5, косинус A =7/25. Найдите ВН. смотреть онлайн
03:30

В треугольнике АВС угол С равен 90°, СН — высота, BC = 5, косинус A =7/25. Найдите ВН.

Геометрия задачи и решения 846 просмотров
№551. На стороне CD параллелограмма ABCD отмечена точка Е. Прямые АЕ и ВС пересекаются в точке F смотреть онлайн
04:14

№551. На стороне CD параллелограмма ABCD отмечена точка Е. Прямые АЕ и ВС пересекаются в точке F

Геометрия задачи и решения 5128 просмотров
№190. Дан куб ABCDA1B1C1D1. Найдите следующие двугранные углы: а) АВВ1С смотреть онлайн
06:21

№190. Дан куб ABCDA1B1C1D1. Найдите следующие двугранные углы: а) АВВ1С

Геометрия задачи и решения 1510 просмотров
Найдите площадь равнобедренного треугольника, основание которого равно 12 см, а боковая сторона 10. смотреть онлайн
03:21

Найдите площадь равнобедренного треугольника, основание которого равно 12 см, а боковая сторона 10.

Геометрия задачи и решения 1089 просмотров
№478. В выпуклом четырехугольнике диагонали взаимно перпендикулярны. Докажите, что площадь смотреть онлайн
02:48

№478. В выпуклом четырехугольнике диагонали взаимно перпендикулярны. Докажите, что площадь

Геометрия задачи и решения 1046 просмотров
№477. Найдите диагонали ромба, если одна из них в 1,5 раза больше другой, а площадь ромба смотреть онлайн
01:43

№477. Найдите диагонали ромба, если одна из них в 1,5 раза больше другой, а площадь ромба

Геометрия задачи и решения 1993 просмотров
Назад Вперед

За каждым успешным каналом стоит личность, идея и сотни часов кропотливого труда. Если вы здесь, значит, автор «Геометрия задачи и решения» уже сумел зацепить ваше внимание своим уникальным стилем или подачей. А мы на RUVIDEO позаботились о том, чтобы вы могли изучить весь архив его работ в максимально комфортных условиях — без лишней суеты и преград.

Почему за работами канала «Геометрия задачи и решения» так интересно наблюдать? Всё просто: это честный контент, который находит отклик в сердцах зрителей. На нашем ресурсе вы можете смотреть онлайн все видео любимого автора бесплатно и в хорошем качестве. Нам важно, чтобы вы видели каждую деталь и слышали каждый нюанс, поэтому мы используем только стабильные плееры из открытых источников Rutube.

Следите за новинками канала, пересматривайте старые шедевры и открывайте для себя новые грани творчества «Геометрия задачи и решения». Мы постоянно обновляем ленту, чтобы у вас под рукой всегда были самые свежие выпуски. Никаких сложных регистраций — только вы и творчество, которое вдохновляет. Приятного вам путешествия по миру авторского контента на RUVIDEO!

Видео взято из открытых источников Rutube. Если вы правообладатель, обратитесь к первоисточнику.