RUVIDEO

Автор: Физика 10 класс: Кинематика и задачи Страница 4

9 класс. Физика. Равномерное прямолинейное движение смотреть онлайн
15:03

9 класс. Физика. Равномерное прямолинейное движение

Физика 10 класс: Кинематика и задачи 356 просмотров
Физика. Задача 1 За 2 с прямолинейного равноускоренного движения тело прошло 20 м увеличив скорость смотреть онлайн
02:59

Физика. Задача 1 За 2 с прямолинейного равноускоренного движения тело прошло 20 м увеличив скорость

Физика 10 класс: Кинематика и задачи 375 просмотров
Физика 7 класс (Урок№8 - Скорость.) смотреть онлайн
04:08

Физика 7 класс (Урок№8 - Скорость.)

Физика 10 класс: Кинематика и задачи 367 просмотров
Лабораторная работа "Исследование равноускоренного движения без начальной скорости", 10 класс смотреть онлайн
04:23

Лабораторная работа "Исследование равноускоренного движения без начальной скорости", 10 класс

Физика 10 класс: Кинематика и задачи 505 просмотров
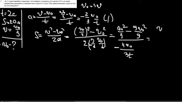
За 2 с прямолинейного движения с постоянным ускорением тело прошло 20 м, неменяя направления движен смотреть онлайн
04:45

За 2 с прямолинейного движения с постоянным ускорением тело прошло 20 м, неменяя направления движен

Физика 10 класс: Кинематика и задачи 410 просмотров
Физика 10 класс (Урок№3 - Равноускоренное движение материальной точки.) смотреть онлайн
07:09

Физика 10 класс (Урок№3 - Равноускоренное движение материальной точки.)

Физика 10 класс: Кинематика и задачи 2393 просмотров
Дифференциальные уравнения движения материальной точки. Часть 1 смотреть онлайн
47:16

Дифференциальные уравнения движения материальной точки. Часть 1

Физика 10 класс: Кинематика и задачи 583 просмотров
Физика. 9 класс. Задачи на свободное падение смотреть онлайн
08:45

Физика. 9 класс. Задачи на свободное падение

Физика 10 класс: Кинематика и задачи 835 просмотров
Определение ускорения свободного падения при помощи математического маятника смотреть онлайн
03:37

Определение ускорения свободного падения при помощи математического маятника

Физика 10 класс: Кинематика и задачи 478 просмотров
Определение скорости и ускорения при поступательном и вращательном движении. смотреть онлайн
15:34

Определение скорости и ускорения при поступательном и вращательном движении.

Физика 10 класс: Кинематика и задачи 304 просмотров
Физика . Узнать за 2 минуты. Как перевести километры в час в метры в секунду и наоборот смотреть онлайн
03:52

Физика . Узнать за 2 минуты. Как перевести километры в час в метры в секунду и наоборот

Физика 10 класс: Кинематика и задачи 3215 просмотров
Физическая культура 2 класс (Урок№5 - Физические упражнения и естественные движения и передвижения. смотреть онлайн
04:20

Физическая культура 2 класс (Урок№5 - Физические упражнения и естественные движения и передвижения.

Физика 10 класс: Кинематика и задачи 4016 просмотров
Физическая культура 7 класс (Урок№17 - Способы двигательной деятельности. Легкая атлетика.) смотреть онлайн
05:40

Физическая культура 7 класс (Урок№17 - Способы двигательной деятельности. Легкая атлетика.)

Физика 10 класс: Кинематика и задачи 399 просмотров
10 класс. Физика. Прямолинейное равномерное движение смотреть онлайн
14:27

10 класс. Физика. Прямолинейное равномерное движение

Физика 10 класс: Кинематика и задачи 545 просмотров
Механическое движение. Траектория, путь и перемещение. 9 класс смотреть онлайн
10:08

Механическое движение. Траектория, путь и перемещение. 9 класс

Физика 10 класс: Кинематика и задачи 5293 просмотров
Вывод, доказательство Закона нечётных чисел (об отношении перемещений) | Физика 9 класс, кинематика смотреть онлайн
07:25

Вывод, доказательство Закона нечётных чисел (об отношении перемещений) | Физика 9 класс, кинематика

Физика 10 класс: Кинематика и задачи 367 просмотров
Магнитный поток. Физика 9 класс смотреть онлайн
10:01

Магнитный поток. Физика 9 класс

Физика 10 класс: Кинематика и задачи 2527 просмотров
Математика 4 класс (Урок№35 - Понятие скорости. Единицы скорости.) смотреть онлайн
04:30

Математика 4 класс (Урок№35 - Понятие скорости. Единицы скорости.)

Физика 10 класс: Кинематика и задачи 990 просмотров
Физика. 10 класс. Расчёт КПД циклов смотреть онлайн
14:56

Физика. 10 класс. Расчёт КПД циклов

Физика 10 класс: Кинематика и задачи 563 просмотров
Термех. Кинематика. Сложное движение точки смотреть онлайн
34:12

Термех. Кинематика. Сложное движение точки

Физика 10 класс: Кинематика и задачи 910 просмотров
материальная точка ПЕРЕМЕЩЕНИЕ 9 класс 1 урок физика Перышкин смотреть онлайн
05:41

материальная точка ПЕРЕМЕЩЕНИЕ 9 класс 1 урок физика Перышкин

Физика 10 класс: Кинематика и задачи 1238 просмотров
Прямая и обратная задачи динамики. Интегрирование уравнений движения | Лекториум смотреть онлайн
01:27:58

Прямая и обратная задачи динамики. Интегрирование уравнений движения | Лекториум

Физика 10 класс: Кинематика и задачи 1213 просмотров
9-класс | Геометрия | Понятие движения. Виды движения смотреть онлайн
21:40

9-класс | Геометрия | Понятие движения. Виды движения

Физика 10 класс: Кинематика и задачи 1263 просмотров
Физика 10 класс.Перемещение,траектория.проекции смотреть онлайн
12:33

Физика 10 класс.Перемещение,траектория.проекции

Физика 10 класс: Кинематика и задачи 384 просмотров
Назад Вперед

За каждым успешным каналом стоит личность, идея и сотни часов кропотливого труда. Если вы здесь, значит, автор «Физика 10 класс: Кинематика и задачи» уже сумел зацепить ваше внимание своим уникальным стилем или подачей. А мы на RUVIDEO позаботились о том, чтобы вы могли изучить весь архив его работ в максимально комфортных условиях — без лишней суеты и преград.

Почему за работами канала «Физика 10 класс: Кинематика и задачи» так интересно наблюдать? Всё просто: это честный контент, который находит отклик в сердцах зрителей. На нашем ресурсе вы можете смотреть онлайн все видео любимого автора бесплатно и в хорошем качестве. Нам важно, чтобы вы видели каждую деталь и слышали каждый нюанс, поэтому мы используем только стабильные плееры из открытых источников Rutube.

Следите за новинками канала, пересматривайте старые шедевры и открывайте для себя новые грани творчества «Физика 10 класс: Кинематика и задачи». Мы постоянно обновляем ленту, чтобы у вас под рукой всегда были самые свежие выпуски. Никаких сложных регистраций — только вы и творчество, которое вдохновляет. Приятного вам путешествия по миру авторского контента на RUVIDEO!

Видео взято из открытых источников Rutube. Если вы правообладатель, обратитесь к первоисточнику.