RUVIDEO

Автор / Канал: Игровые Путешествия Страница 5

Играю в слизарио #1 смотреть онлайн
11:34

Играю в слизарио #1

Игровые Путешествия 10 просмотров
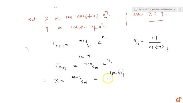
"In the binomial expansion of `(1+a)^(m+n)` , prove that the coefficient of смотреть онлайн
03:35

"In the binomial expansion of `(1+a)^(m+n)` , prove that the coefficient of

Игровые Путешествия 10 просмотров
My Singing Monsters #My Singing Monsters# Мамунт пам пам пам смотреть онлайн
00:38

My Singing Monsters #My Singing Monsters# Мамунт пам пам пам

Игровые Путешествия 102 просмотров
Aero Tales Online - LIVE смотреть онлайн
58:48

Aero Tales Online - LIVE

Игровые Путешествия 10 просмотров
The Walking Dead Season 2 LP. Ep.1 смотреть онлайн
13:20

The Walking Dead Season 2 LP. Ep.1

Игровые Путешествия 10 просмотров
Viridi Demo Video смотреть онлайн
05:53

Viridi Demo Video

Игровые Путешествия 10 просмотров
Назад

За каждым успешным каналом стоит личность, идея и сотни часов кропотливого труда. Если вы здесь, значит, автор «Игровые Путешествия» уже сумел зацепить ваше внимание своим уникальным стилем или подачей. А мы на RUVIDEO позаботились о том, чтобы вы могли изучить весь архив его работ в максимально комфортных условиях — без лишней суеты и преград.

Почему за работами канала «Игровые Путешествия» так интересно наблюдать? Всё просто: это честный контент, который находит отклик в сердцах зрителей. На нашем ресурсе вы можете смотреть онлайн все видео любимого автора бесплатно и в хорошем качестве. Нам важно, чтобы вы видели каждую деталь и слышали каждый нюанс, поэтому мы используем только стабильные плееры из открытых источников Rutube.

Следите за новинками канала, пересматривайте старые шедевры и открывайте для себя новые грани творчества «Игровые Путешествия». Мы постоянно обновляем ленту, чтобы у вас под рукой всегда были самые свежие выпуски. Никаких сложных регистраций — только вы и творчество, которое вдохновляет. Приятного вам путешествия по миру авторского контента на RUVIDEO!

Видео взято из открытых источников Rutube. Если вы правообладатель, обратитесь к первоисточнику.