RUVIDEO

Автор: Радостные эксперименты с искусством Страница 4

23 июля 2017 г. смотреть онлайн
00:27

23 июля 2017 г.

Радостные эксперименты с искусством 13 просмотров
20.12.2020. А, АЛХ. EPAM Ice Needl'z - MJetS смотреть онлайн
58:50

20.12.2020. А, АЛХ. EPAM Ice Needl'z - MJetS

Радостные эксперименты с искусством 13 просмотров
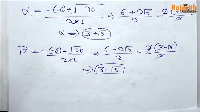
Ex 4B Q6 to Q10 Class 10 | Quadratic Equations | RS Aggarwal | Chapter 4 CBSE | Rajmith study смотреть онлайн
26:09

Ex 4B Q6 to Q10 Class 10 | Quadratic Equations | RS Aggarwal | Chapter 4 CBSE | Rajmith study

Радостные эксперименты с искусством 13 просмотров
Как дать себе больше бодрости смотреть онлайн
17:36

Как дать себе больше бодрости

Радостные эксперименты с искусством 13 просмотров
Закат возле "Печки" смотреть онлайн
00:38

Закат возле "Печки"

Радостные эксперименты с искусством 12 просмотров
Pharsa MID Lane?! Maniac Indigo Aviatrix by Shomemoy Top 2 Global Pharsha ~ Mobile Legends смотреть онлайн
11:48

Pharsa MID Lane?! Maniac Indigo Aviatrix by Shomemoy Top 2 Global Pharsha ~ Mobile Legends

Радостные эксперименты с искусством 12 просмотров
Огонь и вода ( часть) смотреть онлайн
07:05

Огонь и вода ( часть)

Радостные эксперименты с искусством 13 просмотров
Mahler: Symphony No. 3 – 5. Lustig im Tempo und keck im Ausdruck. · Schüller, Capitelli, JPON смотреть онлайн
04:15

Mahler: Symphony No. 3 – 5. Lustig im Tempo und keck im Ausdruck. · Schüller, Capitelli, JPON

Радостные эксперименты с искусством 14 просмотров
Chatchat, le chat du chien de Mélanie Rutten | QLJ 2021-22 смотреть онлайн
01:37

Chatchat, le chat du chien de Mélanie Rutten | QLJ 2021-22

Радостные эксперименты с искусством 13 просмотров
Produção Btx FRIZZ CONTROL Fit Cosméticos смотреть онлайн
00:06

Produção Btx FRIZZ CONTROL Fit Cosméticos

Радостные эксперименты с искусством 14 просмотров
A VIAGEM NO TEMPO pt 5 смотреть онлайн
10:15

A VIAGEM NO TEMPO pt 5

Радостные эксперименты с искусством 13 просмотров
LV Pacific Chill Louis Vuitton Fragrance Unboxing. New Release #perfume #lv #louisvuitton #fragranc смотреть онлайн
00:54

LV Pacific Chill Louis Vuitton Fragrance Unboxing. New Release #perfume #lv #louisvuitton #fragranc

Радостные эксперименты с искусством 14 просмотров
Một chiếc bình nước vô cùng đa dụng, sử dụng ở đâu cũng thích hợp đó nhé | Tupperware Eco Bottle смотреть онлайн
00:48

Một chiếc bình nước vô cùng đa dụng, sử dụng ở đâu cũng thích hợp đó nhé | Tupperware Eco Bottle

Радостные эксперименты с искусством 13 просмотров
Влад Корнилов - «Лёд и огонь» 2011 смотреть онлайн
03:07

Влад Корнилов - «Лёд и огонь» 2011

Радостные эксперименты с искусством 13 просмотров
You Really Got A Hold On Me karaoke by Jacqueline Morfin смотреть онлайн
02:57

You Really Got A Hold On Me karaoke by Jacqueline Morfin

Радостные эксперименты с искусством 13 просмотров
QLF True Champion смотреть онлайн
00:30

QLF True Champion

Радостные эксперименты с искусством 13 просмотров
Мультфильм супер герои #1 смотреть онлайн
00:31

Мультфильм супер герои #1

Радостные эксперименты с искусством 52 просмотров
Полезная штука, берегите #челленджтрансформация смотреть онлайн
00:04

Полезная штука, берегите #челленджтрансформация

Радостные эксперименты с искусством 14 просмотров
Niacinamide+ Zinc: The Ordinary VS Revolution (and a little ACNE update) смотреть онлайн
10:29

Niacinamide+ Zinc: The Ordinary VS Revolution (and a little ACNE update)

Радостные эксперименты с искусством 13 просмотров
СИМФОНИЯ АРОМАТОВ от Свеланы Самосенко смотреть онлайн
04:23

СИМФОНИЯ АРОМАТОВ от Свеланы Самосенко

Радостные эксперименты с искусством 14 просмотров
Steroidhormone einfach erklärt - Synthese | Mineral- / Glucocorticoide | Sexualhormone | Krankheite смотреть онлайн
24:47

Steroidhormone einfach erklärt - Synthese | Mineral- / Glucocorticoide | Sexualhormone | Krankheite

Радостные эксперименты с искусством 13 просмотров
iWAN MC - На озоне смотреть онлайн
02:08

iWAN MC - На озоне

Радостные эксперименты с искусством 14 просмотров
Laura & Carmine смотреть онлайн
00:52

Laura & Carmine

Радостные эксперименты с искусством 13 просмотров
Soranin cover (Bahasa Indonesia) - Asian Kung-Fu Generation смотреть онлайн
04:36

Soranin cover (Bahasa Indonesia) - Asian Kung-Fu Generation

Радостные эксперименты с искусством 13 просмотров
Назад Вперед

За каждым успешным каналом стоит личность, идея и сотни часов кропотливого труда. Если вы здесь, значит, автор «Радостные эксперименты с искусством» уже сумел зацепить ваше внимание своим уникальным стилем или подачей. А мы на RUVIDEO позаботились о том, чтобы вы могли изучить весь архив его работ в максимально комфортных условиях — без лишней суеты и преград.

Почему за работами канала «Радостные эксперименты с искусством» так интересно наблюдать? Всё просто: это честный контент, который находит отклик в сердцах зрителей. На нашем ресурсе вы можете смотреть онлайн все видео любимого автора бесплатно и в хорошем качестве. Нам важно, чтобы вы видели каждую деталь и слышали каждый нюанс, поэтому мы используем только стабильные плееры из открытых источников Rutube.

Следите за новинками канала, пересматривайте старые шедевры и открывайте для себя новые грани творчества «Радостные эксперименты с искусством». Мы постоянно обновляем ленту, чтобы у вас под рукой всегда были самые свежие выпуски. Никаких сложных регистраций — только вы и творчество, которое вдохновляет. Приятного вам путешествия по миру авторского контента на RUVIDEO!

Видео взято из открытых источников Rutube. Если вы правообладатель, обратитесь к первоисточнику.