RUVIDEO

Автор: Brainiac Battalion Barracks Страница 3

81-760/761 "Ока" маршрут №13 смотреть онлайн
00:57

81-760/761 "Ока" маршрут №13

Brainiac Battalion Barracks 11 просмотров
what value in 1 tonne, slug ,quintal . смотреть онлайн
00:23

what value in 1 tonne, slug ,quintal .

Brainiac Battalion Barracks 12 просмотров
TVNZ Breakfast Coronavirus retail anxiety segment (28/05/20) смотреть онлайн
08:08

TVNZ Breakfast Coronavirus retail anxiety segment (28/05/20)

Brainiac Battalion Barracks 11 просмотров
Important Trigonometric sign functions смотреть онлайн
00:05

Important Trigonometric sign functions

Brainiac Battalion Barracks 11 просмотров
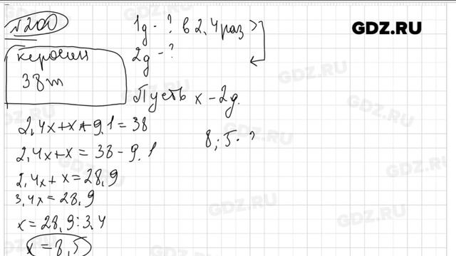
№ 200 - Математика 6 класс Виленкин смотреть онлайн
03:54

№ 200 - Математика 6 класс Виленкин

Brainiac Battalion Barracks 70 просмотров
Ожидание Господа - это умножение! | Церковь Сонмин Корея | Богослужение 28.04.2024 смотреть онлайн
01:44:02

Ожидание Господа - это умножение! | Церковь Сонмин Корея | Богослужение 28.04.2024

Brainiac Battalion Barracks 14 просмотров
Princess Switch 4 Full Details | Vanessa Hudgens | Princess Switch Again смотреть онлайн
07:55

Princess Switch 4 Full Details | Vanessa Hudgens | Princess Switch Again

Brainiac Battalion Barracks 11 просмотров
Три девушки шли по тропинке. Соло Виктор Кундик смотреть онлайн
04:07

Три девушки шли по тропинке. Соло Виктор Кундик

Brainiac Battalion Barracks 15 просмотров
Саратов, Международный проезд, д.3 смотреть онлайн
02:44

Саратов, Международный проезд, д.3

Brainiac Battalion Barracks 11 просмотров
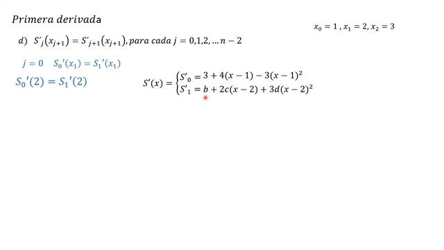
ENCONTRAR CONSTANTES TRAZADOR CÚBICO SUJETO-- EJERCICIO 3 ll SPLINE CÚBICOS -- MÉTODOS NUMÉRICOS. смотреть онлайн
09:03

ENCONTRAR CONSTANTES TRAZADOR CÚBICO SUJETO-- EJERCICIO 3 ll SPLINE CÚBICOS -- MÉTODOS NUMÉRICOS.

Brainiac Battalion Barracks 11 просмотров
Ошиқат шудам смотреть онлайн
02:17

Ошиқат шудам

Brainiac Battalion Barracks 12 просмотров
Задача №82 смотреть онлайн
01:41

Задача №82

Brainiac Battalion Barracks 11 просмотров
Techno Improvisation Live / Session 146 смотреть онлайн
16:30

Techno Improvisation Live / Session 146

Brainiac Battalion Barracks 12 просмотров
Работники скорой помощи должны иметь равные условия получения выплат и сопоставимые нагрузкам доход смотреть онлайн
01:03

Работники скорой помощи должны иметь равные условия получения выплат и сопоставимые нагрузкам доход

Brainiac Battalion Barracks 48 просмотров
Строящееся здание по улице Холодильная, г. Тюмень 2019 смотреть онлайн
00:22

Строящееся здание по улице Холодильная, г. Тюмень 2019

Brainiac Battalion Barracks 11 просмотров
Жаңа форматтағы үздік бастауыш сынып мұғалімі смотреть онлайн
20:07

Жаңа форматтағы үздік бастауыш сынып мұғалімі

Brainiac Battalion Barracks 11 просмотров
Tekkit - EMC Farms - Super Compact Stone Slab EMC farm смотреть онлайн
13:27

Tekkit - EMC Farms - Super Compact Stone Slab EMC farm

Brainiac Battalion Barracks 11 просмотров
-Out My Head- [ Reworked ] By CreatorKaizer [ Me ] | Geometry dash 2.11 смотреть онлайн
01:15

-Out My Head- [ Reworked ] By CreatorKaizer [ Me ] | Geometry dash 2.11

Brainiac Battalion Barracks 11 просмотров
Парная эстафета, Волкуша, 07.01.2022 смотреть онлайн
43:46

Парная эстафета, Волкуша, 07.01.2022

Brainiac Battalion Barracks 11 просмотров
ЖасStars - Шахтёр 2009-2. Счёт 2:0. U-10. Junior league. Полный матч. 03.03.2019г. смотреть онлайн
41:51

ЖасStars - Шахтёр 2009-2. Счёт 2:0. U-10. Junior league. Полный матч. 03.03.2019г.

Brainiac Battalion Barracks 11 просмотров
КҮЙҮҮЧҮ МАЙ КЫМБАТТАДЫ // МОСКВАГА ЖАСАЛМА БИЛЕТ САТКАН АЯЛ КАРМАЛДЫ 01.03.2021 ТҮШКҮ КАБАР 15:00 смотреть онлайн
07:23

КҮЙҮҮЧҮ МАЙ КЫМБАТТАДЫ // МОСКВАГА ЖАСАЛМА БИЛЕТ САТКАН АЯЛ КАРМАЛДЫ 01.03.2021 ТҮШКҮ КАБАР 15:00

Brainiac Battalion Barracks 11 просмотров
Теория солитонов Лекция 10 смотреть онлайн
01:33:56

Теория солитонов Лекция 10

Brainiac Battalion Barracks 16 просмотров
Заезд 25. Круг 1. Мальчики 2004-2005 г.р., Открытие сезона, 26 апреля 2016 смотреть онлайн
01:04

Заезд 25. Круг 1. Мальчики 2004-2005 г.р., Открытие сезона, 26 апреля 2016

Brainiac Battalion Barracks 11 просмотров
ждёте мини фильм? Тогда смотрите это видео !! смотреть онлайн
00:04

ждёте мини фильм? Тогда смотрите это видео !!

Brainiac Battalion Barracks 11 просмотров
Назад Вперед

За каждым успешным каналом стоит личность, идея и сотни часов кропотливого труда. Если вы здесь, значит, автор «Brainiac Battalion Barracks» уже сумел зацепить ваше внимание своим уникальным стилем или подачей. А мы на RUVIDEO позаботились о том, чтобы вы могли изучить весь архив его работ в максимально комфортных условиях — без лишней суеты и преград.

Почему за работами канала «Brainiac Battalion Barracks» так интересно наблюдать? Всё просто: это честный контент, который находит отклик в сердцах зрителей. На нашем ресурсе вы можете смотреть онлайн все видео любимого автора бесплатно и в хорошем качестве. Нам важно, чтобы вы видели каждую деталь и слышали каждый нюанс, поэтому мы используем только стабильные плееры из открытых источников Rutube.

Следите за новинками канала, пересматривайте старые шедевры и открывайте для себя новые грани творчества «Brainiac Battalion Barracks». Мы постоянно обновляем ленту, чтобы у вас под рукой всегда были самые свежие выпуски. Никаких сложных регистраций — только вы и творчество, которое вдохновляет. Приятного вам путешествия по миру авторского контента на RUVIDEO!

Видео взято из открытых источников Rutube. Если вы правообладатель, обратитесь к первоисточнику.