RUVIDEO

Автор / Канал: Topology Tales Страница 10

Хор Force МАЖОР - Winter Song (Sara Bareilles / Ingrid Michaelson) @ Точка сборки 15.12.2015 смотреть онлайн
04:11

Хор Force МАЖОР - Winter Song (Sara Bareilles / Ingrid Michaelson) @ Точка сборки 15.12.2015

Topology Tales 15 просмотров
5-6 Inequalities in One Triangle смотреть онлайн
12:49

5-6 Inequalities in One Triangle

Topology Tales 13 просмотров
How to create victor art (cartoon) infinite design tool apk смотреть онлайн
11:33

How to create victor art (cartoon) infinite design tool apk

Topology Tales 12 просмотров
№ 1948 из сборника задач Б.П.Демидовича (Неопределённые интегралы). смотреть онлайн
09:40

№ 1948 из сборника задач Б.П.Демидовича (Неопределённые интегралы).

Topology Tales 13 просмотров
Модуль числа смотреть онлайн
01:26

Модуль числа

Topology Tales 13 просмотров
Тормозная система и активный круиз-контроль смотреть онлайн
10:45

Тормозная система и активный круиз-контроль

Topology Tales 13 просмотров
переход возле Красной площади. смотреть онлайн
02:58

переход возле Красной площади.

Topology Tales 13 просмотров
'How Should I Handle 2 Girlfriends & A Daughter?' смотреть онлайн
11:25

'How Should I Handle 2 Girlfriends & A Daughter?'

Topology Tales 13 просмотров
Secret Circle - Iron смотреть онлайн
02:12

Secret Circle - Iron

Topology Tales 13 просмотров
Дети тишины смотреть онлайн
02:57

Дети тишины

Topology Tales 18 просмотров
İntegral 9 | Belirli İntegral 1| 12. Sınıf | yeni müfredat | AYT смотреть онлайн
13:30

İntegral 9 | Belirli İntegral 1| 12. Sınıf | yeni müfredat | AYT

Topology Tales 13 просмотров
"Medhome"Сестринская служба смотреть онлайн
01:01

"Medhome"Сестринская служба

Topology Tales 13 просмотров
Population Mean And Sample Mean (Explanation and Walkthrough Example) |Statistics смотреть онлайн
03:49

Population Mean And Sample Mean (Explanation and Walkthrough Example) |Statistics

Topology Tales 13 просмотров
Tu es mon Plaisir ВИДЕО смотреть онлайн
04:56

Tu es mon Plaisir ВИДЕО

Topology Tales 14 просмотров
Sekai - She Came Back (Kill The Copyright Release) смотреть онлайн
05:33

Sekai - She Came Back (Kill The Copyright Release)

Topology Tales 13 просмотров
Землетрясение в Турции вид изнутри помещения 6.02.23 смотреть онлайн
01:30

Землетрясение в Турции вид изнутри помещения 6.02.23

Topology Tales 22 просмотров
браслет шиповник с подвесками смотреть онлайн
00:25

браслет шиповник с подвесками

Topology Tales 13 просмотров
Пальчевский в "Большой Вечер" с Головановым на NewsOne, 04.11.19 смотреть онлайн
01:05:20

Пальчевский в "Большой Вечер" с Головановым на NewsOne, 04.11.19

Topology Tales 14 просмотров
Электровоз ЭП1М-397 с поездом №479 Сухум — Санкт-Петербург смотреть онлайн
00:54

Электровоз ЭП1М-397 с поездом №479 Сухум — Санкт-Петербург

Topology Tales 13 просмотров
MENGAPA _ ELLA LATAH _ PKO GROUP смотреть онлайн
09:31

MENGAPA _ ELLA LATAH _ PKO GROUP

Topology Tales 13 просмотров
African shaker loops, drum rolls and vox FL STUDIO (freepacks) смотреть онлайн
02:08

African shaker loops, drum rolls and vox FL STUDIO (freepacks)

Topology Tales 18 просмотров
SURLED 12/24 Volt DC Dimmer Switch for LED RV Lights Interior, waterproof IP65 смотреть онлайн
00:35

SURLED 12/24 Volt DC Dimmer Switch for LED RV Lights Interior, waterproof IP65

Topology Tales 13 просмотров
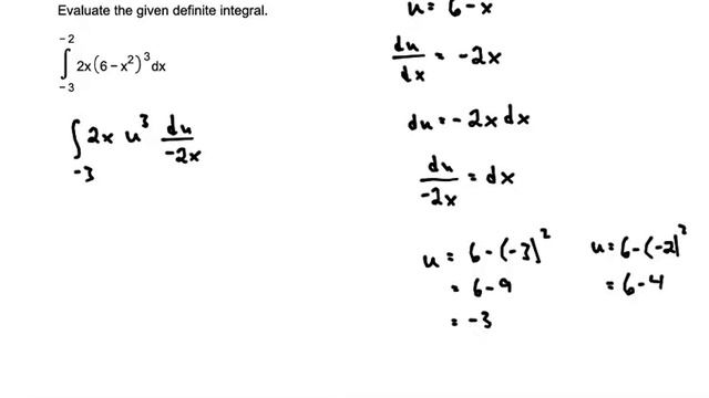
Integral from -3 to -2 of 2x(6-x^2)^3dx смотреть онлайн
04:09

Integral from -3 to -2 of 2x(6-x^2)^3dx

Topology Tales 12 просмотров
GWT Глобальная карта Тайга vs Корсы смотреть онлайн
04:22

GWT Глобальная карта Тайга vs Корсы

Topology Tales 14 просмотров
Назад Вперед

За каждым успешным каналом стоит личность, идея и сотни часов кропотливого труда. Если вы здесь, значит, автор «Topology Tales» уже сумел зацепить ваше внимание своим уникальным стилем или подачей. А мы на RUVIDEO позаботились о том, чтобы вы могли изучить весь архив его работ в максимально комфортных условиях — без лишней суеты и преград.

Почему за работами канала «Topology Tales» так интересно наблюдать? Всё просто: это честный контент, который находит отклик в сердцах зрителей. На нашем ресурсе вы можете смотреть онлайн все видео любимого автора бесплатно и в хорошем качестве. Нам важно, чтобы вы видели каждую деталь и слышали каждый нюанс, поэтому мы используем только стабильные плееры из открытых источников Rutube.

Следите за новинками канала, пересматривайте старые шедевры и открывайте для себя новые грани творчества «Topology Tales». Мы постоянно обновляем ленту, чтобы у вас под рукой всегда были самые свежие выпуски. Никаких сложных регистраций — только вы и творчество, которое вдохновляет. Приятного вам путешествия по миру авторского контента на RUVIDEO!

Видео взято из открытых источников Rutube. Если вы правообладатель, обратитесь к первоисточнику.