RUVIDEO

Автор: Brilliant Bazaar Страница 3

Circulo vicioso - порочный круг смотреть онлайн
03:30

Circulo vicioso - порочный круг

Brilliant Bazaar 11 просмотров
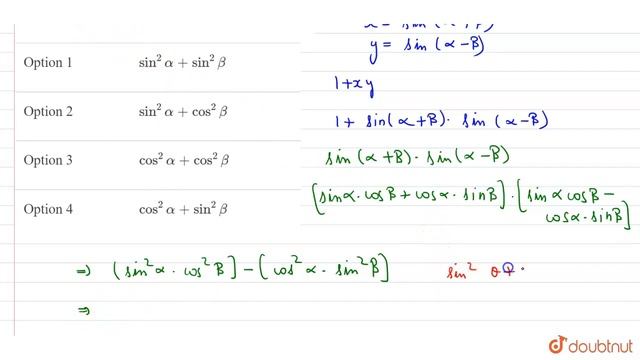
If: sin^(-1)x = alpha + beta and sin^(-1)y = alpha - beta, then: 1+xy= | 12 | TRIGONOMETRIC FUNC... смотреть онлайн
04:04

If: sin^(-1)x = alpha + beta and sin^(-1)y = alpha - beta, then: 1+xy= | 12 | TRIGONOMETRIC FUNC...

Brilliant Bazaar 11 просмотров
Welcome To Da Kappa (feat. Chalie Boy & Tite) смотреть онлайн
04:29

Welcome To Da Kappa (feat. Chalie Boy & Tite)

Brilliant Bazaar 11 просмотров
Python parameter and argument speak Khmer part 24 смотреть онлайн
11:11

Python parameter and argument speak Khmer part 24

Brilliant Bazaar 11 просмотров
Лабиопластика в рамках образовательного курса Протасова Кирилла Андреевича смотреть онлайн
01:00

Лабиопластика в рамках образовательного курса Протасова Кирилла Андреевича

Brilliant Bazaar 24 просмотров
4 Layer Bakery Oven смотреть онлайн
00:46

4 Layer Bakery Oven

Brilliant Bazaar 11 просмотров
Оперативная обстановка на территории Краснодарского края смотреть онлайн
01:09

Оперативная обстановка на территории Краснодарского края

Brilliant Bazaar 11 просмотров
Свадебный фильм Ирина и Максим/ 24 апреля 2015/ SV Production 2015 © смотреть онлайн
18:13

Свадебный фильм Ирина и Максим/ 24 апреля 2015/ SV Production 2015 ©

Brilliant Bazaar 11 просмотров
Меткое попадание в рыбёшку смотреть онлайн
00:25

Меткое попадание в рыбёшку

Brilliant Bazaar 11 просмотров
Tutorial Ibis Paint X Pemula - Vector × Vexel Art смотреть онлайн
22:37

Tutorial Ibis Paint X Pemula - Vector × Vexel Art

Brilliant Bazaar 11 просмотров
#ELC_EVEN_90 _ION WAVE металл, движение в пространстве!!! смотреть онлайн
19:45

#ELC_EVEN_90 _ION WAVE металл, движение в пространстве!!!

Brilliant Bazaar 11 просмотров
"Children Don't Know Trigonometry" by Vernon Howl смотреть онлайн
00:29

"Children Don't Know Trigonometry" by Vernon Howl

Brilliant Bazaar 11 просмотров
Маршрут троллейбуса 5 до Славяновской пл. (ул. Хвесина)и почему они не едут на Музейную пл. смотреть онлайн
15:23

Маршрут троллейбуса 5 до Славяновской пл. (ул. Хвесина)и почему они не едут на Музейную пл.

Brilliant Bazaar 11 просмотров
Class:10+1 Maths Complex Number, modulus and argument and polar form смотреть онлайн
20:13

Class:10+1 Maths Complex Number, modulus and argument and polar form

Brilliant Bazaar 11 просмотров
Code Review: Function to add two binary numbers in C (2 Solutions!!) смотреть онлайн
04:21

Code Review: Function to add two binary numbers in C (2 Solutions!!)

Brilliant Bazaar 11 просмотров
NEW HEISOTERI CREATURE!!| Creature Of Sonaria| COS|| смотреть онлайн
05:03

NEW HEISOTERI CREATURE!!| Creature Of Sonaria| COS||

Brilliant Bazaar 11 просмотров
Мансур зажигает!!! смотреть онлайн
04:30

Мансур зажигает!!!

Brilliant Bazaar 13 просмотров
🎀 Hello Kitty 🎀 AMIGURUMI Pattern PART 1/2 | Subtitled 🇺🇸🇪🇸 GretaWings @gretawings смотреть онлайн
17:09

🎀 Hello Kitty 🎀 AMIGURUMI Pattern PART 1/2 | Subtitled 🇺🇸🇪🇸 GretaWings @gretawings

Brilliant Bazaar 11 просмотров
Самомассаж стоп и крестца смотреть онлайн
05:06

Самомассаж стоп и крестца

Brilliant Bazaar 14 просмотров
[The Count] Hacknet {Part 2} смотреть онлайн
02:47:40

[The Count] Hacknet {Part 2}

Brilliant Bazaar 11 просмотров
ДЕМКА ПРОТИВ МАСТЕРА КОМБЕК СО СЧЕТА 5:0 смотреть онлайн
17:04

ДЕМКА ПРОТИВ МАСТЕРА КОМБЕК СО СЧЕТА 5:0

Brilliant Bazaar 12 просмотров
Подписывайтесь и ставьте ЛАЙКИ♥️Вам не сложно,мне приятно🤗 смотреть онлайн
00:10

Подписывайтесь и ставьте ЛАЙКИ♥️Вам не сложно,мне приятно🤗

Brilliant Bazaar 11 просмотров
Coifa Incasso é discrição pra se livrar dos odores e gordura da cozinha naquele almoço em família! смотреть онлайн
00:30

Coifa Incasso é discrição pra se livrar dos odores e gordura da cozinha naquele almoço em família!

Brilliant Bazaar 12 просмотров
pankaj sir motivation PW 😀😀😀(4) смотреть онлайн
00:12

pankaj sir motivation PW 😀😀😀(4)

Brilliant Bazaar 17 просмотров
Назад Вперед

За каждым успешным каналом стоит личность, идея и сотни часов кропотливого труда. Если вы здесь, значит, автор «Brilliant Bazaar» уже сумел зацепить ваше внимание своим уникальным стилем или подачей. А мы на RUVIDEO позаботились о том, чтобы вы могли изучить весь архив его работ в максимально комфортных условиях — без лишней суеты и преград.

Почему за работами канала «Brilliant Bazaar» так интересно наблюдать? Всё просто: это честный контент, который находит отклик в сердцах зрителей. На нашем ресурсе вы можете смотреть онлайн все видео любимого автора бесплатно и в хорошем качестве. Нам важно, чтобы вы видели каждую деталь и слышали каждый нюанс, поэтому мы используем только стабильные плееры из открытых источников Rutube.

Следите за новинками канала, пересматривайте старые шедевры и открывайте для себя новые грани творчества «Brilliant Bazaar». Мы постоянно обновляем ленту, чтобы у вас под рукой всегда были самые свежие выпуски. Никаких сложных регистраций — только вы и творчество, которое вдохновляет. Приятного вам путешествия по миру авторского контента на RUVIDEO!

Видео взято из открытых источников Rutube. Если вы правообладатель, обратитесь к первоисточнику.