RUVIDEO

Автор / Канал: Educated Eagles Страница 14

Обучалка на кубик рубика пирамидку смотреть онлайн
09:49

Обучалка на кубик рубика пирамидку

Educated Eagles 13 просмотров
Олимп - Ликино Чемпионат Одинцовского района Московской области 1 круг 6 тур 27.11.2013 смотреть онлайн
46:21

Олимп - Ликино Чемпионат Одинцовского района Московской области 1 круг 6 тур 27.11.2013

Educated Eagles 13 просмотров
Күрделі функцияның туындысы. смотреть онлайн
06:45

Күрделі функцияның туындысы.

Educated Eagles 19 просмотров
Slimane - Mon Amour - Eurovision 2024 France REACTION смотреть онлайн
08:06

Slimane - Mon Amour - Eurovision 2024 France REACTION

Educated Eagles 15 просмотров
REACTING TO MY OLD FLOPPY DISKS смотреть онлайн
25:56

REACTING TO MY OLD FLOPPY DISKS

Educated Eagles 13 просмотров
Ролик №1// Система 3-П: Мои выводы смотреть онлайн
05:31

Ролик №1// Система 3-П: Мои выводы

Educated Eagles 13 просмотров
CUBA | Varadero 2018 | Si torna a casa ( 5 part ) смотреть онлайн
04:43

CUBA | Varadero 2018 | Si torna a casa ( 5 part )

Educated Eagles 13 просмотров
Тригонометрия просто! смотреть онлайн
01:01

Тригонометрия просто!

Educated Eagles 15 просмотров
Услуги Культурного центра "Сан" смотреть онлайн
01:54

Услуги Культурного центра "Сан"

Educated Eagles 13 просмотров
Mon Du Bemærket Har - Børnesang med Fagter смотреть онлайн
00:54

Mon Du Bemærket Har - Børnesang med Fagter

Educated Eagles 13 просмотров
Isometric Projection Of Combination Of Sphere & Hemisphere in Engineering Graphics (Part-19) смотреть онлайн
14:08

Isometric Projection Of Combination Of Sphere & Hemisphere in Engineering Graphics (Part-19)

Educated Eagles 13 просмотров
Modelos de Estimación Empíricos смотреть онлайн
11:01

Modelos de Estimación Empíricos

Educated Eagles 13 просмотров
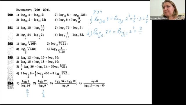
Основные свойства логарифмов, задание 294 смотреть онлайн
02:20

Основные свойства логарифмов, задание 294

Educated Eagles 16 просмотров
1 сынып бейімделуі тренинг жаттығулары смотреть онлайн
01:12

1 сынып бейімделуі тренинг жаттығулары

Educated Eagles 23 просмотров
Использование транспорта в личных целях смотреть онлайн
00:30

Использование транспорта в личных целях

Educated Eagles 14 просмотров
National Webinar On Cyber Security, Cyber Forensics And Intellectual Property Right's смотреть онлайн
02:20:35

National Webinar On Cyber Security, Cyber Forensics And Intellectual Property Right's

Educated Eagles 13 просмотров
ALF 2 == LEÇON 0=LA PONCTUATION = смотреть онлайн
01:23

ALF 2 == LEÇON 0=LA PONCTUATION =

Educated Eagles 13 просмотров
Lecture 7: Convex function- Part C смотреть онлайн
01:29:58

Lecture 7: Convex function- Part C

Educated Eagles 13 просмотров
Elite 80 Angelo Dawkins Unboxing смотреть онлайн
04:40

Elite 80 Angelo Dawkins Unboxing

Educated Eagles 13 просмотров
Destiny Warfare. Постоянная помощь! смотреть онлайн
15:46

Destiny Warfare. Постоянная помощь!

Educated Eagles 13 просмотров
"Поппури", Харченко Нина, г.Сумы смотреть онлайн
02:27

"Поппури", Харченко Нина, г.Сумы

Educated Eagles 14 просмотров
"Симфоническое "Кино" 04.12.18 смотреть онлайн
04:45

"Симфоническое "Кино" 04.12.18

Educated Eagles 13 просмотров
Прохождение King's Bounty: Принцесса #23 Две награды (Маг, невозможный, без потерь) смотреть онлайн
33:44

Прохождение King's Bounty: Принцесса #23 Две награды (Маг, невозможный, без потерь)

Educated Eagles 15 просмотров
9MM Shooting Test of Vector Optics Centurion 1x30mm 3MOA Red Dot Sight 20,000 Hours Runtime смотреть онлайн
01:07

9MM Shooting Test of Vector Optics Centurion 1x30mm 3MOA Red Dot Sight 20,000 Hours Runtime

Educated Eagles 15 просмотров
Назад Вперед

За каждым успешным каналом стоит личность, идея и сотни часов кропотливого труда. Если вы здесь, значит, автор «Educated Eagles» уже сумел зацепить ваше внимание своим уникальным стилем или подачей. А мы на RUVIDEO позаботились о том, чтобы вы могли изучить весь архив его работ в максимально комфортных условиях — без лишней суеты и преград.

Почему за работами канала «Educated Eagles» так интересно наблюдать? Всё просто: это честный контент, который находит отклик в сердцах зрителей. На нашем ресурсе вы можете смотреть онлайн все видео любимого автора бесплатно и в хорошем качестве. Нам важно, чтобы вы видели каждую деталь и слышали каждый нюанс, поэтому мы используем только стабильные плееры из открытых источников Rutube.

Следите за новинками канала, пересматривайте старые шедевры и открывайте для себя новые грани творчества «Educated Eagles». Мы постоянно обновляем ленту, чтобы у вас под рукой всегда были самые свежие выпуски. Никаких сложных регистраций — только вы и творчество, которое вдохновляет. Приятного вам путешествия по миру авторского контента на RUVIDEO!

Видео взято из открытых источников Rutube. Если вы правообладатель, обратитесь к первоисточнику.