RUVIDEO

Автор: Пространственные события Страница 10

КФЛЛ 8x8. Чемпионат МинСпорта РТ. Энтека vs Спектр+ 1:1. смотреть онлайн
51:04

КФЛЛ 8x8. Чемпионат МинСпорта РТ. Энтека vs Спектр+ 1:1.

Пространственные события 13 просмотров
Ben 10 Song Vadivelu Version | Romba Pesatha. смотреть онлайн
01:08

Ben 10 Song Vadivelu Version | Romba Pesatha.

Пространственные события 13 просмотров
Комментарий Николая Мезенина для телеканала Крым24 смотреть онлайн
02:39

Комментарий Николая Мезенина для телеканала Крым24

Пространственные события 14 просмотров
повторяется история со сливом 2.2 в Geometry Dash Meltdown, только теперь в Geometry Dash World смотреть онлайн
00:51

повторяется история со сливом 2.2 в Geometry Dash Meltdown, только теперь в Geometry Dash World

Пространственные события 13 просмотров
12.10.11, 12:00(мск) - Freshhh, аналитика, видеобрифинг КИТ Финанс смотреть онлайн
17:31

12.10.11, 12:00(мск) - Freshhh, аналитика, видеобрифинг КИТ Финанс

Пространственные события 13 просмотров
ECG course; Day (4); Part (C): Abnormal QRS amplitude (low voltage and high voltage) смотреть онлайн
20:50

ECG course; Day (4); Part (C): Abnormal QRS amplitude (low voltage and high voltage)

Пространственные события 13 просмотров
Мой друг подарил мне Лексус в"Кар пакинг" смотреть онлайн
04:59

Мой друг подарил мне Лексус в"Кар пакинг"

Пространственные события 13 просмотров
GM travel Russian Video смотреть онлайн
01:29

GM travel Russian Video

Пространственные события 14 просмотров
Dota2/ Учимся играть с нуля/ Раки тоже люди/ Dota после завода) смотреть онлайн
41:45

Dota2/ Учимся играть с нуля/ Раки тоже люди/ Dota после завода)

Пространственные события 13 просмотров
La Conga de los Hoyos Santiago d e Cuba a cura di pasquale pachi chiurazzi смотреть онлайн
04:40

La Conga de los Hoyos Santiago d e Cuba a cura di pasquale pachi chiurazzi

Пространственные события 13 просмотров
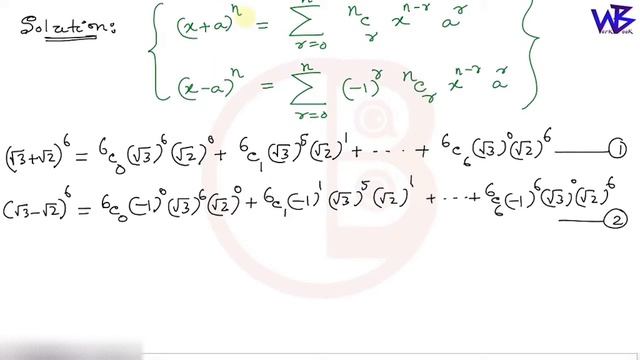
Evaluate: (√3+ √2)^6-(√3-√2)^6) | Binomial Expansion| Binomial Theorem смотреть онлайн
05:40

Evaluate: (√3+ √2)^6-(√3-√2)^6) | Binomial Expansion| Binomial Theorem

Пространственные события 13 просмотров
Infinix Hot Note X551 vs Infinix Zero X506 - Benchmark Tests and Scores смотреть онлайн
09:54

Infinix Hot Note X551 vs Infinix Zero X506 - Benchmark Tests and Scores

Пространственные события 13 просмотров
28 января, 18:00, г.Светлый - Концерт памяти Высоцкого смотреть онлайн
00:51

28 января, 18:00, г.Светлый - Концерт памяти Высоцкого

Пространственные события 13 просмотров
Controlling Dimension Size, Text, and Color with Layer Sets смотреть онлайн
06:03

Controlling Dimension Size, Text, and Color with Layer Sets

Пространственные события 13 просмотров
Риги шоу 2 смотреть онлайн
03:13

Риги шоу 2

Пространственные события 13 просмотров
Платье "Яркая геометрия" смотреть онлайн
00:29

Платье "Яркая геометрия"

Пространственные события 13 просмотров
Cara Mengganti Ignition Key Switch KTNS RS3 250 смотреть онлайн
07:30

Cara Mengganti Ignition Key Switch KTNS RS3 250

Пространственные события 13 просмотров
Color Theory in High School Art смотреть онлайн
00:11

Color Theory in High School Art

Пространственные события 14 просмотров
Alakran 120 mm Light Mortar System (Indo Defence 2018) смотреть онлайн
02:54

Alakran 120 mm Light Mortar System (Indo Defence 2018)

Пространственные события 12 просмотров
Как создать мир в игре Minecraft. смотреть онлайн
04:27

Как создать мир в игре Minecraft.

Пространственные события 18 просмотров
Короче говоря а сшила платье смотреть онлайн
08:28

Короче говоря а сшила платье

Пространственные события 14 просмотров
Section 6 2 Practice 2 смотреть онлайн
15:47

Section 6 2 Practice 2

Пространственные события 13 просмотров
234 2бөлім смотреть онлайн
02:47

234 2бөлім

Пространственные события 13 просмотров
Nueva UPDATE 18.0.1 para NINTENDO SWITCH смотреть онлайн
02:48

Nueva UPDATE 18.0.1 para NINTENDO SWITCH

Пространственные события 13 просмотров
Назад Вперед

За каждым успешным каналом стоит личность, идея и сотни часов кропотливого труда. Если вы здесь, значит, автор «Пространственные события» уже сумел зацепить ваше внимание своим уникальным стилем или подачей. А мы на RUVIDEO позаботились о том, чтобы вы могли изучить весь архив его работ в максимально комфортных условиях — без лишней суеты и преград.

Почему за работами канала «Пространственные события» так интересно наблюдать? Всё просто: это честный контент, который находит отклик в сердцах зрителей. На нашем ресурсе вы можете смотреть онлайн все видео любимого автора бесплатно и в хорошем качестве. Нам важно, чтобы вы видели каждую деталь и слышали каждый нюанс, поэтому мы используем только стабильные плееры из открытых источников Rutube.

Следите за новинками канала, пересматривайте старые шедевры и открывайте для себя новые грани творчества «Пространственные события». Мы постоянно обновляем ленту, чтобы у вас под рукой всегда были самые свежие выпуски. Никаких сложных регистраций — только вы и творчество, которое вдохновляет. Приятного вам путешествия по миру авторского контента на RUVIDEO!

Видео взято из открытых источников Rutube. Если вы правообладатель, обратитесь к первоисточнику.