RUVIDEO

Автор / Канал: Математические миссии Страница 12

[INFO188-2020] Clase 13 - newtype y Monoides смотреть онлайн
56:17

[INFO188-2020] Clase 13 - newtype y Monoides

Математические миссии 13 просмотров
У меня появился свой сервер в Майнкрафт бедрок! смотреть онлайн
03:32

У меня появился свой сервер в Майнкрафт бедрок!

Математические миссии 13 просмотров
Комментарий Антона Гримова о пролонгации государственных гарантий смотреть онлайн
00:39

Комментарий Антона Гримова о пролонгации государственных гарантий

Математические миссии 13 просмотров
The 100 faces of Mona Lisa смотреть онлайн
02:48

The 100 faces of Mona Lisa

Математические миссии 12 просмотров
Угол между ухом и лицом составляет от 170 градусов до 175 градусов. смотреть онлайн
05:54

Угол между ухом и лицом составляет от 170 градусов до 175 градусов.

Математические миссии 13 просмотров
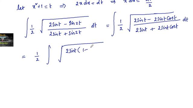
If x^2≠nπ-1, n∈N. Then the value of ∫x √( 2 sin(x^2+1) - sin 2(x^2+1))dx ? jee test series integral смотреть онлайн
03:26

If x^2≠nπ-1, n∈N. Then the value of ∫x √( 2 sin(x^2+1) - sin 2(x^2+1))dx ? jee test series integral

Математические миссии 13 просмотров
Jawan Movie 2023- New Motion Poster | After Effect Tutorial | Creative Things #jawan #jawanfullmovi смотреть онлайн
00:57

Jawan Movie 2023- New Motion Poster | After Effect Tutorial | Creative Things #jawan #jawanfullmovi

Математические миссии 13 просмотров
8 Best RTS Games For iOS 2022 смотреть онлайн
03:35

8 Best RTS Games For iOS 2022

Математические миссии 13 просмотров
Canon 6D + sigma art 24 mm cinematic смотреть онлайн
00:58

Canon 6D + sigma art 24 mm cinematic

Математические миссии 14 просмотров
Фонд инноваций смотреть онлайн
06:14

Фонд инноваций

Математические миссии 13 просмотров
Как включить режим Ваших безграничных возможностей? Татьяна Почуева смотреть онлайн
10:14

Как включить режим Ваших безграничных возможностей? Татьяна Почуева

Математические миссии 13 просмотров
Axiom Verge Прохождение Серия №10: "Вот какая ты, Судра " смотреть онлайн
31:00

Axiom Verge Прохождение Серия №10: "Вот какая ты, Судра "

Математические миссии 14 просмотров
Алмазный шлифовальный круг смотреть онлайн
00:25

Алмазный шлифовальный круг

Математические миссии 13 просмотров
Excel Основной 7 03 смотреть онлайн
01:19

Excel Основной 7 03

Математические миссии 13 просмотров
Стрим и игра с подписчиками смотреть онлайн
02:29:00

Стрим и игра с подписчиками

Математические миссии 13 просмотров
Сердцем приближаюсь, Боже, я к Тебе... смотреть онлайн
03:39

Сердцем приближаюсь, Боже, я к Тебе...

Математические миссии 15 просмотров
Книга "Лидочка", презентация Часть 1 смотреть онлайн
21:20

Книга "Лидочка", презентация Часть 1

Математические миссии 17 просмотров
Grade 3 Math #10.8, Measure Mass of an Object смотреть онлайн
04:38

Grade 3 Math #10.8, Measure Mass of an Object

Математические миссии 13 просмотров
Очередная партия авто из Японии🇯🇵🏎️ - от 800тр до 2.5 млн🚀 Авто на любой бюджет и вкус🇯🇵 смотреть онлайн
12:01

Очередная партия авто из Японии🇯🇵🏎️ - от 800тр до 2.5 млн🚀 Авто на любой бюджет и вкус🇯🇵

Математические миссии 13 просмотров
які паролі в популярних рівней в Geometry Dash смотреть онлайн
07:34

які паролі в популярних рівней в Geometry Dash

Математические миссии 13 просмотров
Craviotto 5x14" Snare Drum - Black Oyster Pearl Wrap! смотреть онлайн
05:08

Craviotto 5x14" Snare Drum - Black Oyster Pearl Wrap!

Математические миссии 13 просмотров
스카프 예쁘게 매는법 10가지. 정사각 스카프 블라우스나 라운드티셔츠에 어울리게 매는법, 머플러 유니크하게 매는 다양한 방법 смотреть онлайн
11:02

스카프 예쁘게 매는법 10가지. 정사각 스카프 블라우스나 라운드티셔츠에 어울리게 매는법, 머플러 유니크하게 매는 다양한 방법

Математические миссии 14 просмотров
Фанфик/ВиГуки - "Всё как по книге" /Часть: 2 смотреть онлайн
02:25

Фанфик/ВиГуки - "Всё как по книге" /Часть: 2

Математические миссии 13 просмотров
Жестко залетел в полигон*жесткий МУВИК в полигоне* смотреть онлайн
00:55

Жестко залетел в полигон*жесткий МУВИК в полигоне*

Математические миссии 14 просмотров
Назад Вперед

За каждым успешным каналом стоит личность, идея и сотни часов кропотливого труда. Если вы здесь, значит, автор «Математические миссии» уже сумел зацепить ваше внимание своим уникальным стилем или подачей. А мы на RUVIDEO позаботились о том, чтобы вы могли изучить весь архив его работ в максимально комфортных условиях — без лишней суеты и преград.

Почему за работами канала «Математические миссии» так интересно наблюдать? Всё просто: это честный контент, который находит отклик в сердцах зрителей. На нашем ресурсе вы можете смотреть онлайн все видео любимого автора бесплатно и в хорошем качестве. Нам важно, чтобы вы видели каждую деталь и слышали каждый нюанс, поэтому мы используем только стабильные плееры из открытых источников Rutube.

Следите за новинками канала, пересматривайте старые шедевры и открывайте для себя новые грани творчества «Математические миссии». Мы постоянно обновляем ленту, чтобы у вас под рукой всегда были самые свежие выпуски. Никаких сложных регистраций — только вы и творчество, которое вдохновляет. Приятного вам путешествия по миру авторского контента на RUVIDEO!

Видео взято из открытых источников Rutube. Если вы правообладатель, обратитесь к первоисточнику.