RUVIDEO

Автор / Канал: Психология и социология Страница 13

DISEQC SWITCH 4 IN 1 + 8 IN 1 KAISE BANAYE смотреть онлайн
05:55

DISEQC SWITCH 4 IN 1 + 8 IN 1 KAISE BANAYE

Психология и социология 13 просмотров
ЖЕСТОВЫЙ ЯЗЫК. СЛОВАРЬ. Группа смотреть онлайн
00:05

ЖЕСТОВЫЙ ЯЗЫК. СЛОВАРЬ. Группа

Психология и социология 13 просмотров
Music and dancing at the Casa de la Trova, Santiago de Cuba, Cuba смотреть онлайн
01:28

Music and dancing at the Casa de la Trova, Santiago de Cuba, Cuba

Психология и социология 13 просмотров
Washington Examiner Reports: Pentagon to be called to account for slow response to Capitol riot смотреть онлайн
02:40

Washington Examiner Reports: Pentagon to be called to account for slow response to Capitol riot

Психология и социология 13 просмотров
"Хор" "А.Нысанов атындағы негізгі орта мектеп" КММ смотреть онлайн
02:43

"Хор" "А.Нысанов атындағы негізгі орта мектеп" КММ

Психология и социология 14 просмотров
Drawing Geometric Figures for kids | Bolalar Uchun Geometrik Figuralar chizish|Геометрические фигур смотреть онлайн
01:57

Drawing Geometric Figures for kids | Bolalar Uchun Geometrik Figuralar chizish|Геометрические фигур

Психология и социология 13 просмотров
What are the Christoffel Symbols? | Tensor Intuition смотреть онлайн
26:01

What are the Christoffel Symbols? | Tensor Intuition

Психология и социология 15 просмотров
jerusalema, Iberostar Selection Esmeralda 5*, Cayo Cruz, будет много интересного, подпишись👍🔝🇨🇺🥑🥥🌴🌎 смотреть онлайн
01:00

jerusalema, Iberostar Selection Esmeralda 5*, Cayo Cruz, будет много интересного, подпишись👍🔝🇨🇺🥑🥥🌴🌎

Психология и социология 14 просмотров
Should You Consider the All New MG ZS Ev 2022 !! #mg #mgastor #mgzsev смотреть онлайн
07:48

Should You Consider the All New MG ZS Ev 2022 !! #mg #mgastor #mgzsev

Психология и социология 13 просмотров
Clasa String смотреть онлайн
07:21

Clasa String

Психология и социология 13 просмотров
8. Sınıf Matematik Üçgenler 3: Açı Kenar Bağıntıları | Ozan Alper | Lightboard ile Ders 21| #lgs202 смотреть онлайн
16:15

8. Sınıf Matematik Üçgenler 3: Açı Kenar Bağıntıları | Ozan Alper | Lightboard ile Ders 21| #lgs202

Психология и социология 14 просмотров
Полезный разговор 5 причин, которые не дают упасть бензину в цене в Украине смотреть онлайн
32:22

Полезный разговор 5 причин, которые не дают упасть бензину в цене в Украине

Психология и социология 13 просмотров
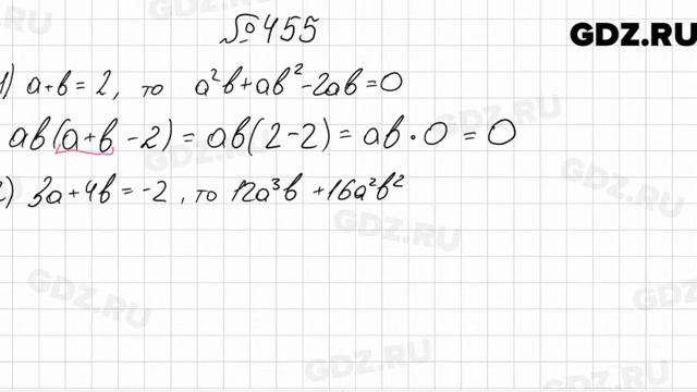
№ 455 - Алгебра 7 класс Мерзляк смотреть онлайн
02:23

№ 455 - Алгебра 7 класс Мерзляк

Психология и социология 28 просмотров
Годзилла непобедима (Battle cats) смотреть онлайн
13:03

Годзилла непобедима (Battle cats)

Психология и социология 17 просмотров
Calculus Help: Integral ∫ 1/x^3 cos(1/x) dx - Integration by substitution - Parts смотреть онлайн
02:45

Calculus Help: Integral ∫ 1/x^3 cos(1/x) dx - Integration by substitution - Parts

Психология и социология 13 просмотров
рубль 1891 (АГ) Биткин #74 смотреть онлайн
03:25

рубль 1891 (АГ) Биткин #74

Психология и социология 15 просмотров
Mixed-Use Opportunity in Springs, Gauteng on Auction 23rd June 2021 смотреть онлайн
02:33

Mixed-Use Opportunity in Springs, Gauteng on Auction 23rd June 2021

Психология и социология 13 просмотров
Class 11| Chapter 3| Miscellaneous Exercise| Question 10| NCERT| Ramanujan Classes| Mr. Vikash Gupt смотреть онлайн
04:48

Class 11| Chapter 3| Miscellaneous Exercise| Question 10| NCERT| Ramanujan Classes| Mr. Vikash Gupt

Психология и социология 13 просмотров
BMW M5 E60 - detailing & restoration package смотреть онлайн
01:22

BMW M5 E60 - detailing & restoration package

Психология и социология 12 просмотров
Math secondary |2|Geometry and measurement | solid geometry| Pyramid смотреть онлайн
13:31

Math secondary |2|Geometry and measurement | solid geometry| Pyramid

Психология и социология 14 просмотров
Escape Room: Idol 3D Printing смотреть онлайн
14:23

Escape Room: Idol 3D Printing

Психология и социология 13 просмотров
Распаковка Honkai: Star Rail | Горячая новинка! смотреть онлайн
25:41

Распаковка Honkai: Star Rail | Горячая новинка!

Психология и социология 12 просмотров
Ураганы Бузулуке смотреть онлайн
00:08

Ураганы Бузулуке

Психология и социология 14 просмотров
NickTheSmoker - Nat Sherman MCD смотреть онлайн
13:11

NickTheSmoker - Nat Sherman MCD

Психология и социология 13 просмотров
Назад Вперед

За каждым успешным каналом стоит личность, идея и сотни часов кропотливого труда. Если вы здесь, значит, автор «Психология и социология» уже сумел зацепить ваше внимание своим уникальным стилем или подачей. А мы на RUVIDEO позаботились о том, чтобы вы могли изучить весь архив его работ в максимально комфортных условиях — без лишней суеты и преград.

Почему за работами канала «Психология и социология» так интересно наблюдать? Всё просто: это честный контент, который находит отклик в сердцах зрителей. На нашем ресурсе вы можете смотреть онлайн все видео любимого автора бесплатно и в хорошем качестве. Нам важно, чтобы вы видели каждую деталь и слышали каждый нюанс, поэтому мы используем только стабильные плееры из открытых источников Rutube.

Следите за новинками канала, пересматривайте старые шедевры и открывайте для себя новые грани творчества «Психология и социология». Мы постоянно обновляем ленту, чтобы у вас под рукой всегда были самые свежие выпуски. Никаких сложных регистраций — только вы и творчество, которое вдохновляет. Приятного вам путешествия по миру авторского контента на RUVIDEO!

Видео взято из открытых источников Rutube. Если вы правообладатель, обратитесь к первоисточнику.