RUVIDEO

Автор: Cryptic Constructions Страница 6

20200102 201316 BULLFROG ON A LOG walk thru 2X смотреть онлайн
00:49

20200102 201316 BULLFROG ON A LOG walk thru 2X

Cryptic Constructions 11 просмотров
Milesight 5G CPE | Unboxing and Overview смотреть онлайн
06:56

Milesight 5G CPE | Unboxing and Overview

Cryptic Constructions 11 просмотров
"Балашихинская Хоккейная Лига" ХК "Керамик" VS "Инженерный Институт" смотреть онлайн
01:03:32

"Балашихинская Хоккейная Лига" ХК "Керамик" VS "Инженерный Институт"

Cryptic Constructions 11 просмотров
НОВЫЙ ДЮП В БЛОК МОН ГО СКАРЕЙ 2021 НЕ УПУЙТИ ШАНС СТАТЬ БОГАТЫМ смотреть онлайн
04:31

НОВЫЙ ДЮП В БЛОК МОН ГО СКАРЕЙ 2021 НЕ УПУЙТИ ШАНС СТАТЬ БОГАТЫМ

Cryptic Constructions 12 просмотров
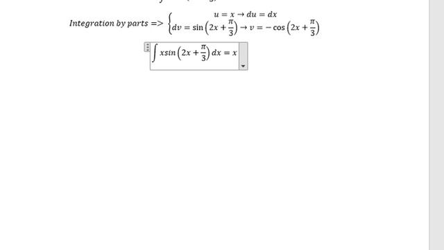
Calculus Help: Integral of xsin(2x+π/3)dx - Integration by parts смотреть онлайн
02:21

Calculus Help: Integral of xsin(2x+π/3)dx - Integration by parts

Cryptic Constructions 11 просмотров
#2, непрямая фиксация вестибулярных брекетов. Антонина Фартушна смотреть онлайн
00:35

#2, непрямая фиксация вестибулярных брекетов. Антонина Фартушна

Cryptic Constructions 11 просмотров
DP World Reaches Milestone with Container High Bay Store Proof of Concept смотреть онлайн
02:00

DP World Reaches Milestone with Container High Bay Store Proof of Concept

Cryptic Constructions 11 просмотров
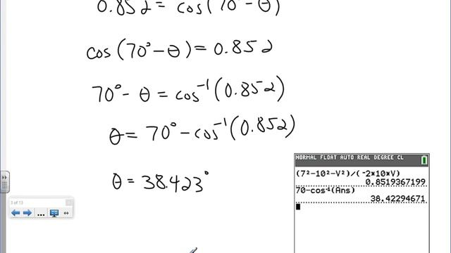
Class12 HOW TO SOLVE-TAN INVERSE (COSX/1-SINX) смотреть онлайн
03:57

Class12 HOW TO SOLVE-TAN INVERSE (COSX/1-SINX)

Cryptic Constructions 11 просмотров
Pink Floyd - Money (vinyl) смотреть онлайн
06:56

Pink Floyd - Money (vinyl)

Cryptic Constructions 11 просмотров
Интервью с участницей 1-го сезона (4-ое место) смотреть онлайн
12:03

Интервью с участницей 1-го сезона (4-ое место)

Cryptic Constructions 11 просмотров
3-х комнатная квартира в г.Астана | ЖК Athletic City смотреть онлайн
01:00

3-х комнатная квартира в г.Астана | ЖК Athletic City

Cryptic Constructions 12 просмотров
Счетчик банкнот PRO 40 MIX EURO смотреть онлайн
00:49

Счетчик банкнот PRO 40 MIX EURO

Cryptic Constructions 11 просмотров
AG Masonic Diamond Stainless Steel Ring смотреть онлайн
00:14

AG Masonic Diamond Stainless Steel Ring

Cryptic Constructions 11 просмотров
AH Precalculus Section 9-6 Part 1 Video смотреть онлайн
32:36

AH Precalculus Section 9-6 Part 1 Video

Cryptic Constructions 11 просмотров
Which fraction is greater 7/8 or 15/16? смотреть онлайн
01:23

Which fraction is greater 7/8 or 15/16?

Cryptic Constructions 11 просмотров
Мой город - идеальное место для жизни? Это место, где я провожу целыми днями! смотреть онлайн
01:39

Мой город - идеальное место для жизни? Это место, где я провожу целыми днями!

Cryptic Constructions 11 просмотров
"La lucha por la reducción de las 40 horas y la agenda Laboral pendiente en México " смотреть онлайн
01:50:25

"La lucha por la reducción de las 40 horas y la agenda Laboral pendiente en México "

Cryptic Constructions 11 просмотров
Проходим майнкрафт на телефоне смотреть онлайн
13:22

Проходим майнкрафт на телефоне

Cryptic Constructions 11 просмотров
SSC GD फिजिकल 1.6km 8 मिनट मे कैसें करें 🔥|| SSC GD General Cutt Off || SSC GD RUNNING VIDEO !! смотреть онлайн
09:09

SSC GD फिजिकल 1.6km 8 मिनट मे कैसें करें 🔥|| SSC GD General Cutt Off || SSC GD RUNNING VIDEO !!

Cryptic Constructions 11 просмотров
КЕЧКИ КАБАРЛАР 22-00 24-04-2018 смотреть онлайн
24:08

КЕЧКИ КАБАРЛАР 22-00 24-04-2018

Cryptic Constructions 11 просмотров
Тепловоз 2ТЭ25КМ-0321 с товарным белорусом, Перегон Тарковичи - Оредеж смотреть онлайн
03:13

Тепловоз 2ТЭ25КМ-0321 с товарным белорусом, Перегон Тарковичи - Оредеж

Cryptic Constructions 14 просмотров
Треня "Меткий Стрелок" смотреть онлайн
00:08

Треня "Меткий Стрелок"

Cryptic Constructions 11 просмотров
Ваз 2101 турбо смотреть онлайн
00:52

Ваз 2101 турбо

Cryptic Constructions 22 просмотров
#9. Грузоперевозки по Европе. Транспортный бизнес. Финансовые данные за май 2019 смотреть онлайн
14:25

#9. Грузоперевозки по Европе. Транспортный бизнес. Финансовые данные за май 2019

Cryptic Constructions 11 просмотров
Назад Вперед

За каждым успешным каналом стоит личность, идея и сотни часов кропотливого труда. Если вы здесь, значит, автор «Cryptic Constructions» уже сумел зацепить ваше внимание своим уникальным стилем или подачей. А мы на RUVIDEO позаботились о том, чтобы вы могли изучить весь архив его работ в максимально комфортных условиях — без лишней суеты и преград.

Почему за работами канала «Cryptic Constructions» так интересно наблюдать? Всё просто: это честный контент, который находит отклик в сердцах зрителей. На нашем ресурсе вы можете смотреть онлайн все видео любимого автора бесплатно и в хорошем качестве. Нам важно, чтобы вы видели каждую деталь и слышали каждый нюанс, поэтому мы используем только стабильные плееры из открытых источников Rutube.

Следите за новинками канала, пересматривайте старые шедевры и открывайте для себя новые грани творчества «Cryptic Constructions». Мы постоянно обновляем ленту, чтобы у вас под рукой всегда были самые свежие выпуски. Никаких сложных регистраций — только вы и творчество, которое вдохновляет. Приятного вам путешествия по миру авторского контента на RUVIDEO!

Видео взято из открытых источников Rutube. Если вы правообладатель, обратитесь к первоисточнику.