RUVIDEO

Автор / Канал: Интегральные импровизации Страница 16

Assassins Creed IV Black Flag #54 а сложно смотреть онлайн
17:17

Assassins Creed IV Black Flag #54 а сложно

Интегральные импровизации 13 просмотров
Cube 😍 Drawing, Coloring and Painting for Kids and Toddlers_Learning colors смотреть онлайн
03:03

Cube 😍 Drawing, Coloring and Painting for Kids and Toddlers_Learning colors

Интегральные импровизации 13 просмотров
В гостях у большой семьи! смотреть онлайн
02:15

В гостях у большой семьи!

Интегральные импровизации 15 просмотров
Casa Glass 4x4 Recycler Function Video смотреть онлайн
01:30

Casa Glass 4x4 Recycler Function Video

Интегральные импровизации 13 просмотров
Как мы снимали 7 секунд смотреть онлайн
02:27

Как мы снимали 7 секунд

Интегральные импровизации 13 просмотров
Множества часть 4 смотреть онлайн
06:45

Множества часть 4

Интегральные импровизации 13 просмотров
сложно но возможно geometry dash (11) смотреть онлайн
11:44

сложно но возможно geometry dash (11)

Интегральные импровизации 13 просмотров
Motor operated valve|MOV|Motorized operated valve|mov function test|mov commissioning|rotork mov смотреть онлайн
04:16

Motor operated valve|MOV|Motorized operated valve|mov function test|mov commissioning|rotork mov

Интегральные импровизации 14 просмотров
Sfera Ebbasta "15 piani" Type Beat "Quartiere" смотреть онлайн
02:41

Sfera Ebbasta "15 piani" Type Beat "Quartiere"

Интегральные импровизации 13 просмотров
Good Girls Drink Blue- MC Awesome смотреть онлайн
03:17

Good Girls Drink Blue- MC Awesome

Интегральные импровизации 13 просмотров
Configuración del Switch Cisco смотреть онлайн
14:08

Configuración del Switch Cisco

Интегральные импровизации 13 просмотров
Val d'Orcia, the heart of Tuscany 4K смотреть онлайн
03:39

Val d'Orcia, the heart of Tuscany 4K

Интегральные импровизации 20 просмотров
Турнир между отделениями "Школы Мяча" (младшая группа) матч 2 смотреть онлайн
01:32

Турнир между отделениями "Школы Мяча" (младшая группа) матч 2

Интегральные импровизации 13 просмотров
Лінійне рівняння з однією змінною (Алгебра 7 клас) смотреть онлайн
35:51

Лінійне рівняння з однією змінною (Алгебра 7 клас)

Интегральные импровизации 14 просмотров
Sofirn IF24 Flashlight Kit Review! смотреть онлайн
22:29

Sofirn IF24 Flashlight Kit Review!

Интегральные импровизации 44 просмотров
19 - 2023 1ч егэ математика профиль фипи 36в смотреть онлайн
01:55

19 - 2023 1ч егэ математика профиль фипи 36в

Интегральные импровизации 14 просмотров
Gigabit 16 port Ethernet Switch смотреть онлайн
00:27

Gigabit 16 port Ethernet Switch

Интегральные импровизации 13 просмотров
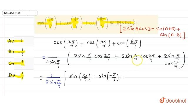
cos ((2pi)/7)+cos ((4pi)/7) +cos ((6pi)/7) का मान बराबर है : | CLASS 12 | सॉल्वड पेपर (JEE MAIN ... смотреть онлайн
05:10

cos ((2pi)/7)+cos ((4pi)/7) +cos ((6pi)/7) का मान बराबर है : | CLASS 12 | सॉल्वड पेपर (JEE MAIN ...

Интегральные импровизации 13 просмотров
End-to-end Optimization of Optics and Image Processing | SIGGRAPH 2018 смотреть онлайн
04:27

End-to-end Optimization of Optics and Image Processing | SIGGRAPH 2018

Интегральные импровизации 13 просмотров
Прокладка пмб ГОСТ 15180 86. Прокладка пмб ГОСТ 15180 86 смотреть онлайн
01:00

Прокладка пмб ГОСТ 15180 86. Прокладка пмб ГОСТ 15180 86

Интегральные импровизации 14 просмотров
Tutorial on how to use lan on VBA emulator смотреть онлайн
01:40

Tutorial on how to use lan on VBA emulator

Интегральные импровизации 14 просмотров
In figure, angle ADC=90, BC=38cm, CD=28cm and BP =25cm. Find the radius of the circle смотреть онлайн
06:40

In figure, angle ADC=90, BC=38cm, CD=28cm and BP =25cm. Find the radius of the circle

Интегральные импровизации 13 просмотров
How to Import csv, shapefile and tif (Raster, Vector) files into Google Earth Pro смотреть онлайн
04:36

How to Import csv, shapefile and tif (Raster, Vector) files into Google Earth Pro

Интегральные импровизации 17 просмотров
lotto combinations Powerball Jackpot 5x69 Summa 180 video 40 смотреть онлайн
20:00

lotto combinations Powerball Jackpot 5x69 Summa 180 video 40

Интегральные импровизации 13 просмотров
Назад Вперед

За каждым успешным каналом стоит личность, идея и сотни часов кропотливого труда. Если вы здесь, значит, автор «Интегральные импровизации» уже сумел зацепить ваше внимание своим уникальным стилем или подачей. А мы на RUVIDEO позаботились о том, чтобы вы могли изучить весь архив его работ в максимально комфортных условиях — без лишней суеты и преград.

Почему за работами канала «Интегральные импровизации» так интересно наблюдать? Всё просто: это честный контент, который находит отклик в сердцах зрителей. На нашем ресурсе вы можете смотреть онлайн все видео любимого автора бесплатно и в хорошем качестве. Нам важно, чтобы вы видели каждую деталь и слышали каждый нюанс, поэтому мы используем только стабильные плееры из открытых источников Rutube.

Следите за новинками канала, пересматривайте старые шедевры и открывайте для себя новые грани творчества «Интегральные импровизации». Мы постоянно обновляем ленту, чтобы у вас под рукой всегда были самые свежие выпуски. Никаких сложных регистраций — только вы и творчество, которое вдохновляет. Приятного вам путешествия по миру авторского контента на RUVIDEO!

Видео взято из открытых источников Rutube. Если вы правообладатель, обратитесь к первоисточнику.