RUVIDEO

Автор / Канал: Шутерный урок Страница 17

А как стрелять? / Enlisted смотреть онлайн
10:03

А как стрелять? / Enlisted

Шутерный урок 31 просмотров
Doom 2 In Spain Only - MAP31: Zona Secreta (UV | 100% Asesinatos | 100% Misterios) смотреть онлайн
07:56

Doom 2 In Spain Only - MAP31: Zona Secreta (UV | 100% Asesinatos | 100% Misterios)

Шутерный урок 15 просмотров
Полное прохождение Doom eternal: Секреты, чтение кодекса, боссы и многое другое. Ад на земле смотреть онлайн
33:20

Полное прохождение Doom eternal: Секреты, чтение кодекса, боссы и многое другое. Ад на земле

Шутерный урок 41 просмотров
Doom 3 BFG Edition Resurrection of Evil PC - Erebus: Control [Level 4 - Part 1/1] смотреть онлайн
15:24

Doom 3 BFG Edition Resurrection of Evil PC - Erebus: Control [Level 4 - Part 1/1]

Шутерный урок 16 просмотров
DOOM ETERNAL - ANCIENT GODS - Blood Swamp - Replay Part 05_2a смотреть онлайн
08:53

DOOM ETERNAL - ANCIENT GODS - Blood Swamp - Replay Part 05_2a

Шутерный урок 15 просмотров
Doom 3: Resurrection of Evil - #10. Phobos Labs Sector 1 - Revisited смотреть онлайн
18:39

Doom 3: Resurrection of Evil - #10. Phobos Labs Sector 1 - Revisited

Шутерный урок 15 просмотров
DOOM 3 // Арахнофобия // # 5 смотреть онлайн
19:45

DOOM 3 // Арахнофобия // # 5

Шутерный урок 15 просмотров
FadedFrost vs NHBY - Map 1[Train] - 2022 1v1 Tournament - Round 2 смотреть онлайн
20:16

FadedFrost vs NHBY - Map 1[Train] - 2022 1v1 Tournament - Round 2

Шутерный урок 15 просмотров
Paul's Gaming - Doom 2 Master Levels part06 смотреть онлайн
09:51

Paul's Gaming - Doom 2 Master Levels part06

Шутерный урок 15 просмотров
Неискушимый грех | Прохождение Doom Eternal №16 смотреть онлайн
41:17

Неискушимый грех | Прохождение Doom Eternal №16

Шутерный урок 16 просмотров
Doom 2 - Return to saturn X + ultra crispy map6 смотреть онлайн
15:17

Doom 2 - Return to saturn X + ultra crispy map6

Шутерный урок 15 просмотров
DOOM 64 / The Lost Levels - MAP39: Final Judgement смотреть онлайн
07:02

DOOM 64 / The Lost Levels - MAP39: Final Judgement

Шутерный урок 15 просмотров
[Doom 2] Sunder map 12 UV max in 34:06 смотреть онлайн
34:15

[Doom 2] Sunder map 12 UV max in 34:06

Шутерный урок 36 просмотров
Como criar server Doom 3 via hamachi смотреть онлайн
02:38

Como criar server Doom 3 via hamachi

Шутерный урок 15 просмотров
scarlxrd - 6 FEET [Prod. MUPPY] AMV смотреть онлайн
02:05

scarlxrd - 6 FEET [Prod. MUPPY] AMV

Шутерный урок 15 просмотров
CS:GO - INSANE 5 ACES " ONE Awp Bullet,4 Kills??? " смотреть онлайн
01:44

CS:GO - INSANE 5 ACES " ONE Awp Bullet,4 Kills??? "

Шутерный урок 15 просмотров
WE'RE MAKING A CS:GO TEAM смотреть онлайн
10:26

WE'RE MAKING A CS:GO TEAM

Шутерный урок 15 просмотров
[CS 1.6 LAN] hally_forgrand @Pre SJ смотреть онлайн
00:25

[CS 1.6 LAN] hally_forgrand @Pre SJ

Шутерный урок 15 просмотров
CS:GO Funny Moments | Sammy The God | Rejected By A Female смотреть онлайн
06:38

CS:GO Funny Moments | Sammy The God | Rejected By A Female

Шутерный урок 15 просмотров
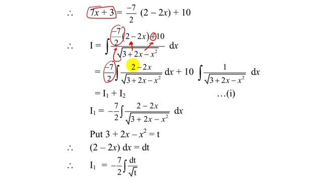
Maths-2 Full Exercise 3.2(c) chapter 3 Indefinite integration | class 12 science maharashtra board смотреть онлайн
47:36

Maths-2 Full Exercise 3.2(c) chapter 3 Indefinite integration | class 12 science maharashtra board

Шутерный урок 15 просмотров
CS:GO - 1V5 ACE Clutch W/ Bomb plant смотреть онлайн
02:17

CS:GO - 1V5 ACE Clutch W/ Bomb plant

Шутерный урок 15 просмотров
Legit Anti-Aim vs Russian CS:GO Streamer смотреть онлайн
06:57

Legit Anti-Aim vs Russian CS:GO Streamer

Шутерный урок 15 просмотров
UNLOST BABA DEDİ FİRE İN THE HOLE DEDİ unlost gülüyor смотреть онлайн
00:58

UNLOST BABA DEDİ FİRE İN THE HOLE DEDİ unlost gülüyor

Шутерный урок 15 просмотров
CS:GO - M9 RUST COAT UNBOXING (KNIFE IN A CASE!)CASE OPENING смотреть онлайн
07:02

CS:GO - M9 RUST COAT UNBOXING (KNIFE IN A CASE!)CASE OPENING

Шутерный урок 15 просмотров
Назад Вперед

За каждым успешным каналом стоит личность, идея и сотни часов кропотливого труда. Если вы здесь, значит, автор «Шутерный урок» уже сумел зацепить ваше внимание своим уникальным стилем или подачей. А мы на RUVIDEO позаботились о том, чтобы вы могли изучить весь архив его работ в максимально комфортных условиях — без лишней суеты и преград.

Почему за работами канала «Шутерный урок» так интересно наблюдать? Всё просто: это честный контент, который находит отклик в сердцах зрителей. На нашем ресурсе вы можете смотреть онлайн все видео любимого автора бесплатно и в хорошем качестве. Нам важно, чтобы вы видели каждую деталь и слышали каждый нюанс, поэтому мы используем только стабильные плееры из открытых источников Rutube.

Следите за новинками канала, пересматривайте старые шедевры и открывайте для себя новые грани творчества «Шутерный урок». Мы постоянно обновляем ленту, чтобы у вас под рукой всегда были самые свежие выпуски. Никаких сложных регистраций — только вы и творчество, которое вдохновляет. Приятного вам путешествия по миру авторского контента на RUVIDEO!

Видео взято из открытых источников Rutube. Если вы правообладатель, обратитесь к первоисточнику.