RUVIDEO

Автор / Канал: Video Game Showdowns Страница 9

Back Workout | Life With Wes Watson смотреть онлайн
05:56

Back Workout | Life With Wes Watson

Video Game Showdowns 18 просмотров
Эй дядя я знаю чем мы сегодня займемся смотреть онлайн
00:18

Эй дядя я знаю чем мы сегодня займемся

Video Game Showdowns 19 просмотров
И чем же я занимаюсь у себя в гараже! смотреть онлайн
05:38

И чем же я занимаюсь у себя в гараже!

Video Game Showdowns 17 просмотров
Кубок Победы. Орбита2003 - Атлант [4:2] 3 период 08.05.2015 смотреть онлайн
21:18

Кубок Победы. Орбита2003 - Атлант [4:2] 3 период 08.05.2015

Video Game Showdowns 16 просмотров
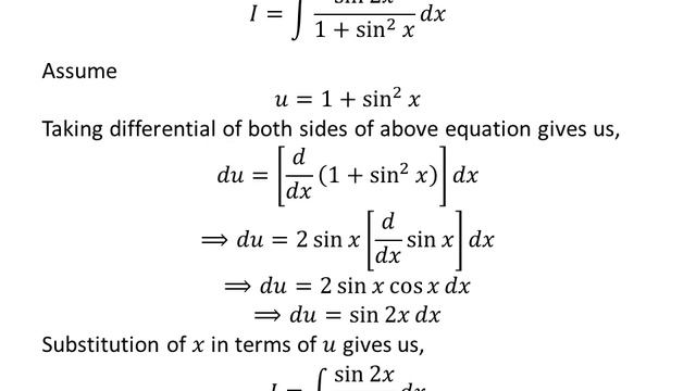
Integral of sin 2x/(1 + sin^2 x) смотреть онлайн
03:56

Integral of sin 2x/(1 + sin^2 x)

Video Game Showdowns 17 просмотров
Жаворонки и совы смотреть онлайн
08:00

Жаворонки и совы

Video Game Showdowns 16 просмотров
Старшенькая катается смотреть онлайн
00:18

Старшенькая катается

Video Game Showdowns 19 просмотров
СОЗДАЕМ ПЕРСОНАЖА И СТРОИМ ДОМ ДЛЯ НОВОГО ЧЕЛЛЕНДЖА /// The Sims 4 - Not So Berry смотреть онлайн
18:52

СОЗДАЕМ ПЕРСОНАЖА И СТРОИМ ДОМ ДЛЯ НОВОГО ЧЕЛЛЕНДЖА /// The Sims 4 - Not So Berry

Video Game Showdowns 19 просмотров
доводка ручек ножа. смотреть онлайн
06:54

доводка ручек ножа.

Video Game Showdowns 21 просмотров
Молодежь в современном информационном пространстве смотреть онлайн
01:59:13

Молодежь в современном информационном пространстве

Video Game Showdowns 18 просмотров
Кооперативное выживание 7 Days to DIe (Alpha 16) #12 - Путь к бегству смотреть онлайн
56:49

Кооперативное выживание 7 Days to DIe (Alpha 16) #12 - Путь к бегству

Video Game Showdowns 16 просмотров
フライドポテトより簡単で驚くほど超旨い!! サックサク♪『やみつきフライドブロッコリー』Crispy Fried Broccoli【糖質制限/低糖質レシピ/低糖質おつまみ/節約レシピ】튀긴 브로콜리 смотреть онлайн
12:51

フライドポテトより簡単で驚くほど超旨い!! サックサク♪『やみつきフライドブロッコリー』Crispy Fried Broccoli【糖質制限/低糖質レシピ/低糖質おつまみ/節約レシピ】튀긴 브로콜리

Video Game Showdowns 17 просмотров
Киматика Жрецы Египта оригинал смотреть онлайн
05:28

Киматика Жрецы Египта оригинал

Video Game Showdowns 68 просмотров
Failing osu!lazer on iphone (a fool moon night) смотреть онлайн
04:53

Failing osu!lazer on iphone (a fool moon night)

Video Game Showdowns 16 просмотров
Разные режимы боя в War Thunder. Мнение. смотреть онлайн
05:24

Разные режимы боя в War Thunder. Мнение.

Video Game Showdowns 21 просмотров
СМЕЛЫЙ поступок!!! смотреть онлайн
00:46

СМЕЛЫЙ поступок!!!

Video Game Showdowns 16 просмотров
‼️Чем закончится эта пауза⁉️ смотреть онлайн
02:55

‼️Чем закончится эта пауза⁉️

Video Game Showdowns 19 просмотров
Rhodes Mk2 piano. Mark II. Review / Родос Марк 2. Электронное пианино. Обзор. смотреть онлайн
02:55

Rhodes Mk2 piano. Mark II. Review / Родос Марк 2. Электронное пианино. Обзор.

Video Game Showdowns 97 просмотров
2 место 3 место иииииии 7 место смотреть онлайн
08:00

2 место 3 место иииииии 7 место

Video Game Showdowns 16 просмотров
Поделки с детьми. Занимаемся с детьми дома смотреть онлайн
19:02

Поделки с детьми. Занимаемся с детьми дома

Video Game Showdowns 22 просмотров
🔔 Прекрасный вокализ! Димаш и композитор из США Нэйтан Ванг (SUB) смотреть онлайн
05:02

🔔 Прекрасный вокализ! Димаш и композитор из США Нэйтан Ванг (SUB)

Video Game Showdowns 21 просмотров
Разные герои и стратегии | Chronicle RuneScape Legends | 2 | смотреть онлайн
41:04

Разные герои и стратегии | Chronicle RuneScape Legends | 2 |

Video Game Showdowns 16 просмотров
Top Aluminum metal Bumper iPhone 6/6 plus Case смотреть онлайн
00:18

Top Aluminum metal Bumper iPhone 6/6 plus Case

Video Game Showdowns 16 просмотров
How To Fill 510 Thread 1.0ml Glass Ceramic Cell CBD Vape Cartridge? смотреть онлайн
01:17

How To Fill 510 Thread 1.0ml Glass Ceramic Cell CBD Vape Cartridge?

Video Game Showdowns 17 просмотров
Назад Вперед

За каждым успешным каналом стоит личность, идея и сотни часов кропотливого труда. Если вы здесь, значит, автор «Video Game Showdowns» уже сумел зацепить ваше внимание своим уникальным стилем или подачей. А мы на RUVIDEO позаботились о том, чтобы вы могли изучить весь архив его работ в максимально комфортных условиях — без лишней суеты и преград.

Почему за работами канала «Video Game Showdowns» так интересно наблюдать? Всё просто: это честный контент, который находит отклик в сердцах зрителей. На нашем ресурсе вы можете смотреть онлайн все видео любимого автора бесплатно и в хорошем качестве. Нам важно, чтобы вы видели каждую деталь и слышали каждый нюанс, поэтому мы используем только стабильные плееры из открытых источников Rutube.

Следите за новинками канала, пересматривайте старые шедевры и открывайте для себя новые грани творчества «Video Game Showdowns». Мы постоянно обновляем ленту, чтобы у вас под рукой всегда были самые свежие выпуски. Никаких сложных регистраций — только вы и творчество, которое вдохновляет. Приятного вам путешествия по миру авторского контента на RUVIDEO!

Видео взято из открытых источников Rutube. Если вы правообладатель, обратитесь к первоисточнику.