RUVIDEO

Автор: Советчик-эксперт: помощь в выборе товаров Страница 5

Как легко привлекать деньги в свою жизнь? смотреть онлайн
56:15

Как легко привлекать деньги в свою жизнь?

Советчик-эксперт: помощь в выборе товаров 16 просмотров
ребята смотрите что случилось с моим цыплёнком смотреть онлайн
00:54

ребята смотрите что случилось с моим цыплёнком

Советчик-эксперт: помощь в выборе товаров 16 просмотров
Что такое профилактический осмотр груди и когда его делать? | Маммолог смотреть онлайн
00:33

Что такое профилактический осмотр груди и когда его делать? | Маммолог

Советчик-эксперт: помощь в выборе товаров 20 просмотров
ОНВК "Гімназія №7". 10 клас. Біологія. Мутації та їх властивості смотреть онлайн
13:42

ОНВК "Гімназія №7". 10 клас. Біологія. Мутації та їх властивості

Советчик-эксперт: помощь в выборе товаров 16 просмотров
ЗАКОН ЗВЕРЯ - 8 и 9 СЕРИИ// Финал первой книги смотреть онлайн
03:43:10

ЗАКОН ЗВЕРЯ - 8 и 9 СЕРИИ// Финал первой книги

Советчик-эксперт: помощь в выборе товаров 23 просмотров
Деньги в Отношениях Мужчины и Женщины смотреть онлайн
16:00

Деньги в Отношениях Мужчины и Женщины

Советчик-эксперт: помощь в выборе товаров 28 просмотров
Командные блоки в майнкрафт пе 1.18.2 смотреть онлайн
07:59

Командные блоки в майнкрафт пе 1.18.2

Советчик-эксперт: помощь в выборе товаров 17 просмотров
Ставки на футбол. Ставки на спорт смотреть онлайн
00:55

Ставки на футбол. Ставки на спорт

Советчик-эксперт: помощь в выборе товаров 16 просмотров
НОВОСТИ о канале!!! и что нa нём будет. смотреть онлайн
01:44

НОВОСТИ о канале!!! и что нa нём будет.

Советчик-эксперт: помощь в выборе товаров 17 просмотров
Знак Министерство просвещения БССР Отличник народного просвещения Тип 1 1946 год смотреть онлайн
00:50

Знак Министерство просвещения БССР Отличник народного просвещения Тип 1 1946 год

Советчик-эксперт: помощь в выборе товаров 18 просмотров
Идеальная жена Евгений Пересветов смотреть онлайн
01:09:38

Идеальная жена Евгений Пересветов

Советчик-эксперт: помощь в выборе товаров 47 просмотров
Вызов Принят: Пухлый Кро..эээ Слоник♥ смотреть онлайн
08:44

Вызов Принят: Пухлый Кро..эээ Слоник♥

Советчик-эксперт: помощь в выборе товаров 17 просмотров
Человек не может представить того, чего не может быть смотреть онлайн
14:59

Человек не может представить того, чего не может быть

Советчик-эксперт: помощь в выборе товаров 118 просмотров
Выживание с 0 [1 часть] /майнкрафт смотреть онлайн
05:27

Выживание с 0 [1 часть] /майнкрафт

Советчик-эксперт: помощь в выборе товаров 16 просмотров
МНЕ ДАЛИ ТЕГ АВТОРА\ТЕГ KOKOLOK_175\КАСТОМКИ ФОРТНАЙТ смотреть онлайн
00:57

МНЕ ДАЛИ ТЕГ АВТОРА\ТЕГ KOKOLOK_175\КАСТОМКИ ФОРТНАЙТ

Советчик-эксперт: помощь в выборе товаров 16 просмотров
*NEW* MAISON MARGIELA MUTINY EAU DE PARFUM смотреть онлайн
06:41

*NEW* MAISON MARGIELA MUTINY EAU DE PARFUM

Советчик-эксперт: помощь в выборе товаров 16 просмотров
HUNT SHOWDOWN😈ХАНТ ШОУДАУН ОНЛАЙН😈 смотреть онлайн
32:43

HUNT SHOWDOWN😈ХАНТ ШОУДАУН ОНЛАЙН😈

Советчик-эксперт: помощь в выборе товаров 17 просмотров
Город глухих смотреть онлайн
18:19

Город глухих

Советчик-эксперт: помощь в выборе товаров 17 просмотров
Mozart - Don Giovanni - 2 смотреть онлайн
23:25

Mozart - Don Giovanni - 2

Советчик-эксперт: помощь в выборе товаров 16 просмотров
ᴴᴰ Следование за учеными - это и есть следование за Пророкомﷺ смотреть онлайн
07:22

ᴴᴰ Следование за учеными - это и есть следование за Пророкомﷺ

Советчик-эксперт: помощь в выборе товаров 16 просмотров
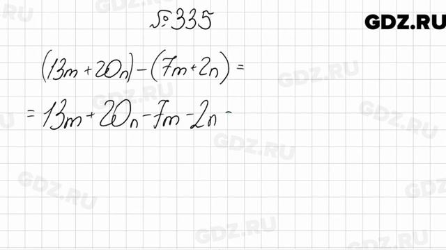
№ 335 - Алгебра 7 класс Мерзляк смотреть онлайн
01:15

№ 335 - Алгебра 7 класс Мерзляк

Советчик-эксперт: помощь в выборе товаров 30 просмотров
Как получить военный билет.#2часть. Выполнил 2 задания. смотреть онлайн
15:17

Как получить военный билет.#2часть. Выполнил 2 задания.

Советчик-эксперт: помощь в выборе товаров 17 просмотров
Жив, цел, орел. Возвращение на дрожащие острова. The elder scrolls IV: oblivion. смотреть онлайн
02:31:57

Жив, цел, орел. Возвращение на дрожащие острова. The elder scrolls IV: oblivion.

Советчик-эксперт: помощь в выборе товаров 16 просмотров
Ясир Кады | Что должны знать женщины о мужчинах 1/7 #Ясир Кады #Мужская психология. #Брак смотреть онлайн
11:25

Ясир Кады | Что должны знать женщины о мужчинах 1/7 #Ясир Кады #Мужская психология. #Брак

Советчик-эксперт: помощь в выборе товаров 42 просмотров
Назад Вперед

За каждым успешным каналом стоит личность, идея и сотни часов кропотливого труда. Если вы здесь, значит, автор «Советчик-эксперт: помощь в выборе товаров» уже сумел зацепить ваше внимание своим уникальным стилем или подачей. А мы на RUVIDEO позаботились о том, чтобы вы могли изучить весь архив его работ в максимально комфортных условиях — без лишней суеты и преград.

Почему за работами канала «Советчик-эксперт: помощь в выборе товаров» так интересно наблюдать? Всё просто: это честный контент, который находит отклик в сердцах зрителей. На нашем ресурсе вы можете смотреть онлайн все видео любимого автора бесплатно и в хорошем качестве. Нам важно, чтобы вы видели каждую деталь и слышали каждый нюанс, поэтому мы используем только стабильные плееры из открытых источников Rutube.

Следите за новинками канала, пересматривайте старые шедевры и открывайте для себя новые грани творчества «Советчик-эксперт: помощь в выборе товаров». Мы постоянно обновляем ленту, чтобы у вас под рукой всегда были самые свежие выпуски. Никаких сложных регистраций — только вы и творчество, которое вдохновляет. Приятного вам путешествия по миру авторского контента на RUVIDEO!

Видео взято из открытых источников Rutube. Если вы правообладатель, обратитесь к первоисточнику.