RUVIDEO

Автор / Канал: Удивительные миры игр Страница 6

ну игра называется не помню #меме #рофл #роблокс @MYPKA533 #game 🎮 смотреть онлайн
00:08

ну игра называется не помню #меме #рофл #роблокс @MYPKA533 #game 🎮

Удивительные миры игр 17 просмотров
Raw Therapee Clipped Highlights, Highlight Recovery and the Out Of Range Pink Thing! смотреть онлайн
36:04

Raw Therapee Clipped Highlights, Highlight Recovery and the Out Of Range Pink Thing!

Удивительные миры игр 17 просмотров
Аудиокнига Любой ценой 9. Lire en français. A1 #francais #lire #французскийязыквидео смотреть онлайн
05:31

Аудиокнига Любой ценой 9. Lire en français. A1 #francais #lire #французскийязыквидео

Удивительные миры игр 20 просмотров
Как установить сохранение на пиратскую Gta san andreas? **ЛЕГКИЙ СПОСОБ** смотреть онлайн
03:18

Как установить сохранение на пиратскую Gta san andreas? **ЛЕГКИЙ СПОСОБ**

Удивительные миры игр 121 просмотров
Юлия Меньшова про масс-маркет 💌 смотреть онлайн
00:28

Юлия Меньшова про масс-маркет 💌

Удивительные миры игр 60 просмотров
ЛУЧШАЯ Нарезка Ботаника Red21●#1●Володя Ржавый●RED21●ЛУЧШЕЕ● смотреть онлайн
07:47

ЛУЧШАЯ Нарезка Ботаника Red21●#1●Володя Ржавый●RED21●ЛУЧШЕЕ●

Удивительные миры игр 196 просмотров
уфффф багажник джеки джейн 😍😍😍 Маш Милаш стрим в купальниках смотреть онлайн
00:13

уфффф багажник джеки джейн 😍😍😍 Маш Милаш стрим в купальниках

Удивительные миры игр 251 просмотров
Скай сила жёсткий(маты!)/ WORLD OF DOTA / Дота 2 смотреть онлайн
49:15

Скай сила жёсткий(маты!)/ WORLD OF DOTA / Дота 2

Удивительные миры игр 21 просмотров
Samsung RSA1UTMG fault part 5 смотреть онлайн
00:25

Samsung RSA1UTMG fault part 5

Удивительные миры игр 16 просмотров
МАРК РАССКАЗАЛ КАК МОЖНО ДЕЛАТЬ ДЕНЬГИ ЛЕГКО | ПРЕДЛОЖЕНИЕ СДЕЛАЛ ПОДПИСЧИК смотреть онлайн
12:40

МАРК РАССКАЗАЛ КАК МОЖНО ДЕЛАТЬ ДЕНЬГИ ЛЕГКО | ПРЕДЛОЖЕНИЕ СДЕЛАЛ ПОДПИСЧИК

Удивительные миры игр 17 просмотров
И опять я не знаю название /meme/ Gacha life смотреть онлайн
00:10

И опять я не знаю название /meme/ Gacha life

Удивительные миры игр 17 просмотров
шаманская болезнь и непонятные (последствия) явления смотреть онлайн
02:49

шаманская болезнь и непонятные (последствия) явления

Удивительные миры игр 20 просмотров
FlightReacts To WARRIORS at KNICKS | FULL GAME HIGHLIGHTS | February 29, 2024! смотреть онлайн
16:16

FlightReacts To WARRIORS at KNICKS | FULL GAME HIGHLIGHTS | February 29, 2024!

Удивительные миры игр 16 просмотров
Ваз 2114 заводим в минус 20 смотреть онлайн
00:48

Ваз 2114 заводим в минус 20

Удивительные миры игр 19 просмотров
Xiaomi Watch S3: ΤΟ ΡΟΛΟΙ ΠΟΥ ΑΛΛΑΖΕΙ ΕΜΦΑΝΙΣΗ ! смотреть онлайн
09:02

Xiaomi Watch S3: ΤΟ ΡΟΛΟΙ ΠΟΥ ΑΛΛΑΖΕΙ ΕΜΦΑΝΙΣΗ !

Удивительные миры игр 16 просмотров
2/4 сборка модели из подарка. КВ-1 обр.40года масштаб 1/100.(звезда) смотреть онлайн
07:51

2/4 сборка модели из подарка. КВ-1 обр.40года масштаб 1/100.(звезда)

Удивительные миры игр 17 просмотров
★ЭТО ШЕДЕВР-★ ХРУСТЯЩАЯ КУРИЦА С ПАПРИКОЙ ★ смотреть онлайн
02:30

★ЭТО ШЕДЕВР-★ ХРУСТЯЩАЯ КУРИЦА С ПАПРИКОЙ ★

Удивительные миры игр 16 просмотров
Дети говорят...Зачем нам нужно знать языки?? смотреть онлайн
00:40

Дети говорят...Зачем нам нужно знать языки??

Удивительные миры игр 20 просмотров
ДЕДУШКИНО ВЕДРО ВОЗВРАЩАЕТСЯ ЧТОБЫ СНОВА НАКАЗАТЬ ТУТ ВСЕХ! - СКИЛЛ ТЕСТ В ГТА 5 ОНЛАЙН смотреть онлайн
22:21

ДЕДУШКИНО ВЕДРО ВОЗВРАЩАЕТСЯ ЧТОБЫ СНОВА НАКАЗАТЬ ТУТ ВСЕХ! - СКИЛЛ ТЕСТ В ГТА 5 ОНЛАЙН

Удивительные миры игр 16 просмотров
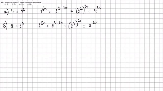
Алгебра 7 класс Макарычев, Миндюк УПР 444 смотреть онлайн
02:16

Алгебра 7 класс Макарычев, Миндюк УПР 444

Удивительные миры игр 198 просмотров
предновогодний влог❄️☃️дискотека//тайный санта//подарки🎁 смотреть онлайн
12:11

предновогодний влог❄️☃️дискотека//тайный санта//подарки🎁

Удивительные миры игр 17 просмотров
Apple's NEW Midnight Leather Case & Wallet - Is The Price Worth It? смотреть онлайн
07:36

Apple's NEW Midnight Leather Case & Wallet - Is The Price Worth It?

Удивительные миры игр 16 просмотров
Школа политического лидерства в Геленджике смотреть онлайн
02:20

Школа политического лидерства в Геленджике

Удивительные миры игр 16 просмотров
Хабибу пора нарушить слово. Шансов вернуться и войти в историю больше не будет смотреть онлайн
02:38

Хабибу пора нарушить слово. Шансов вернуться и войти в историю больше не будет

Удивительные миры игр 16 просмотров
Назад Вперед

За каждым успешным каналом стоит личность, идея и сотни часов кропотливого труда. Если вы здесь, значит, автор «Удивительные миры игр» уже сумел зацепить ваше внимание своим уникальным стилем или подачей. А мы на RUVIDEO позаботились о том, чтобы вы могли изучить весь архив его работ в максимально комфортных условиях — без лишней суеты и преград.

Почему за работами канала «Удивительные миры игр» так интересно наблюдать? Всё просто: это честный контент, который находит отклик в сердцах зрителей. На нашем ресурсе вы можете смотреть онлайн все видео любимого автора бесплатно и в хорошем качестве. Нам важно, чтобы вы видели каждую деталь и слышали каждый нюанс, поэтому мы используем только стабильные плееры из открытых источников Rutube.

Следите за новинками канала, пересматривайте старые шедевры и открывайте для себя новые грани творчества «Удивительные миры игр». Мы постоянно обновляем ленту, чтобы у вас под рукой всегда были самые свежие выпуски. Никаких сложных регистраций — только вы и творчество, которое вдохновляет. Приятного вам путешествия по миру авторского контента на RUVIDEO!

Видео взято из открытых источников Rutube. Если вы правообладатель, обратитесь к первоисточнику.