RUVIDEO

Автор: Eternal Emotions Страница 6

Иерофант перевернутый. Жрец. Таро.Архетипы. смотреть онлайн
13:43

Иерофант перевернутый. Жрец. Таро.Архетипы.

Eternal Emotions 29 просмотров
А.И.Осипов.Когда курок нажат и пуля летит,уже поздно говорить о том, что делать. смотреть онлайн
09:38

А.И.Осипов.Когда курок нажат и пуля летит,уже поздно говорить о том, что делать.

Eternal Emotions 16 просмотров
Как автоматизировать звук Ль в словосочетаниях смотреть онлайн
02:07

Как автоматизировать звук Ль в словосочетаниях

Eternal Emotions 16 просмотров
BE CAREFUL! - NEW Ban Wave In GTA 5 Online Due To Modded Money & MORE?!? (GTA 5 Gameplay) смотреть онлайн
04:36

BE CAREFUL! - NEW Ban Wave In GTA 5 Online Due To Modded Money & MORE?!? (GTA 5 Gameplay)

Eternal Emotions 16 просмотров
4. Мольбы и поминания Аллаха || Абу Умар Ас-Сыям смотреть онлайн
21:19

4. Мольбы и поминания Аллаха || Абу Умар Ас-Сыям

Eternal Emotions 16 просмотров
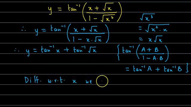
Derivatives - Derivative of arctan((x + sqrt(x))/(1 - sqrt(x ^ 3))) смотреть онлайн
03:34

Derivatives - Derivative of arctan((x + sqrt(x))/(1 - sqrt(x ^ 3)))

Eternal Emotions 16 просмотров
Обзор сайта UMI top смотреть онлайн
02:00

Обзор сайта UMI top

Eternal Emotions 16 просмотров
Free Outro Template / Аутро / концовка для видео / Download / Скачать смотреть онлайн
00:15

Free Outro Template / Аутро / концовка для видео / Download / Скачать

Eternal Emotions 16 просмотров
Прохождение игры Eyes на кошмаре в обнове смотреть онлайн
10:54

Прохождение игры Eyes на кошмаре в обнове

Eternal Emotions 24 просмотров
СОВЕТЫ МУДРОЙ ЖЕНЫ КАК ПОМОЧЬ МУЖЧИНЕ ДОСТИЧЬ БОЛЬШЕГО ОЛЬГА САЛОДКАЯ смотреть онлайн
02:54

СОВЕТЫ МУДРОЙ ЖЕНЫ КАК ПОМОЧЬ МУЖЧИНЕ ДОСТИЧЬ БОЛЬШЕГО ОЛЬГА САЛОДКАЯ

Eternal Emotions 16 просмотров
Дорогу делают .Надо сказать ,что ее здесь не было никогда .Вообще никогда .Просто вытоптанная . смотреть онлайн
01:02

Дорогу делают .Надо сказать ,что ее здесь не было никогда .Вообще никогда .Просто вытоптанная .

Eternal Emotions 16 просмотров
Gb Whatsaap An unknown error occurred | gb whatsapp not opening congrats fixed смотреть онлайн
04:20

Gb Whatsaap An unknown error occurred | gb whatsapp not opening congrats fixed

Eternal Emotions 16 просмотров
2018년11월1학년모의고사33,34,36번 смотреть онлайн
27:45

2018년11월1학년모의고사33,34,36번

Eternal Emotions 16 просмотров
Giraffe: Exploring the Life of The World's tallest Animal! смотреть онлайн
06:28

Giraffe: Exploring the Life of The World's tallest Animal!

Eternal Emotions 17 просмотров
Я старалась честно я ещё не очень умею делать видео))ну я старалась)) смотреть онлайн
00:15

Я старалась честно я ещё не очень умею делать видео))ну я старалась))

Eternal Emotions 16 просмотров
Equality as an Ideal смотреть онлайн
43:04

Equality as an Ideal

Eternal Emotions 16 просмотров
Спасибо за 80 подписчеков!!! Делать ли мне вопрос-Действие ? смотреть онлайн
00:40

Спасибо за 80 подписчеков!!! Делать ли мне вопрос-Действие ?

Eternal Emotions 16 просмотров
#SARPO SANDIQ#TAKLIFNOMA#OFARMLENIYA#TO'Y XIZMATLARI BARCHASI MAVJUD MART APREL OYIGA 10%CHEGIRMA смотреть онлайн
00:08

#SARPO SANDIQ#TAKLIFNOMA#OFARMLENIYA#TO'Y XIZMATLARI BARCHASI MAVJUD MART APREL OYIGA 10%CHEGIRMA

Eternal Emotions 16 просмотров
Гробище на Еверест - върхът на смъртта смотреть онлайн
14:46

Гробище на Еверест - върхът на смъртта

Eternal Emotions 17 просмотров
LXNER - Стал другим [AMV//Edit] смотреть онлайн
00:25

LXNER - Стал другим [AMV//Edit]

Eternal Emotions 17 просмотров
TURKEY REFUSES IMF HELP AGAIN, REAL TURKEY смотреть онлайн
05:07

TURKEY REFUSES IMF HELP AGAIN, REAL TURKEY

Eternal Emotions 16 просмотров
Blessed Are the Meek | Sermon on Matthew 5:5 by Pastor Colin Smith | Definition of Meekness смотреть онлайн
46:29

Blessed Are the Meek | Sermon on Matthew 5:5 by Pastor Colin Smith | Definition of Meekness

Eternal Emotions 16 просмотров
Sims 4 Limited Edition Vorbesteller Unboxing [German] [HD] смотреть онлайн
02:46

Sims 4 Limited Edition Vorbesteller Unboxing [German] [HD]

Eternal Emotions 16 просмотров
Voot App Black Screen Problem Solve смотреть онлайн
01:55

Voot App Black Screen Problem Solve

Eternal Emotions 16 просмотров
Назад Вперед

За каждым успешным каналом стоит личность, идея и сотни часов кропотливого труда. Если вы здесь, значит, автор «Eternal Emotions» уже сумел зацепить ваше внимание своим уникальным стилем или подачей. А мы на RUVIDEO позаботились о том, чтобы вы могли изучить весь архив его работ в максимально комфортных условиях — без лишней суеты и преград.

Почему за работами канала «Eternal Emotions» так интересно наблюдать? Всё просто: это честный контент, который находит отклик в сердцах зрителей. На нашем ресурсе вы можете смотреть онлайн все видео любимого автора бесплатно и в хорошем качестве. Нам важно, чтобы вы видели каждую деталь и слышали каждый нюанс, поэтому мы используем только стабильные плееры из открытых источников Rutube.

Следите за новинками канала, пересматривайте старые шедевры и открывайте для себя новые грани творчества «Eternal Emotions». Мы постоянно обновляем ленту, чтобы у вас под рукой всегда были самые свежие выпуски. Никаких сложных регистраций — только вы и творчество, которое вдохновляет. Приятного вам путешествия по миру авторского контента на RUVIDEO!

Видео взято из открытых источников Rutube. Если вы правообладатель, обратитесь к первоисточнику.