RUVIDEO

Автор: Healthy Habits Страница 4

Blizzard розгнівала фанів, виставка IGN, успіх Helldivers 2 | Новинний Дайджест смотреть онлайн
05:50

Blizzard розгнівала фанів, виставка IGN, успіх Helldivers 2 | Новинний Дайджест

Healthy Habits 16 просмотров
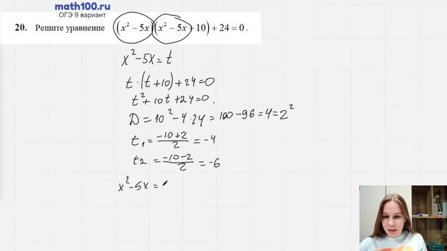
20 задание 9 варианта ОГЭ с сайта math100 смотреть онлайн
02:18

20 задание 9 варианта ОГЭ с сайта math100

Healthy Habits 22 просмотров
HK0NA & LU5FF - 50 MHZ - SSB - 17/01/2012 - 02:00 UTC смотреть онлайн
01:17

HK0NA & LU5FF - 50 MHZ - SSB - 17/01/2012 - 02:00 UTC

Healthy Habits 17 просмотров
Muse - Perth Big Day Out, 02/04/2007, 23 min смотреть онлайн
23:11

Muse - Perth Big Day Out, 02/04/2007, 23 min

Healthy Habits 16 просмотров
Redmi note 10 pro #resistance value near cpu смотреть онлайн
00:23

Redmi note 10 pro #resistance value near cpu

Healthy Habits 16 просмотров
ЦЕЛЬ ЭКСПЕДИЦИИ #49 - 7 DAYS TO DIE (RAVENHEARST+ALPHA 17) ПРОХОЖДЕНИЕ смотреть онлайн
39:21

ЦЕЛЬ ЭКСПЕДИЦИИ #49 - 7 DAYS TO DIE (RAVENHEARST+ALPHA 17) ПРОХОЖДЕНИЕ

Healthy Habits 16 просмотров
Large 48 watt 240 volt smoke machine pump. смотреть онлайн
00:34

Large 48 watt 240 volt smoke machine pump.

Healthy Habits 16 просмотров
BIGGEST SLOT WINS OF THE WEEK ($1,000,000 PLUS) смотреть онлайн
08:41

BIGGEST SLOT WINS OF THE WEEK ($1,000,000 PLUS)

Healthy Habits 20 просмотров
Соревнование "Шустрая Белка" 2017 - поползновения хоббитов смотреть онлайн
04:33

Соревнование "Шустрая Белка" 2017 - поползновения хоббитов

Healthy Habits 17 просмотров
2022 BMW R nineT 719 Night Black Matte/Aluminum Matte смотреть онлайн
01:52

2022 BMW R nineT 719 Night Black Matte/Aluminum Matte

Healthy Habits 17 просмотров
Ich habe noch nie so leckere Kohl gegessen! Einfaches Kohlrezept! смотреть онлайн
03:36

Ich habe noch nie so leckere Kohl gegessen! Einfaches Kohlrezept!

Healthy Habits 17 просмотров
Проверяю сможет ли 1 юнит пройти все режимы в [🔦EP 69 PART 2] Toilet Tower Defense смотреть онлайн
49:52

Проверяю сможет ли 1 юнит пройти все режимы в [🔦EP 69 PART 2] Toilet Tower Defense

Healthy Habits 16 просмотров
Heating Up in A Race Against Time - INT Season 2 Week 1 смотреть онлайн
34:32

Heating Up in A Race Against Time - INT Season 2 Week 1

Healthy Habits 16 просмотров
Raptopoulos 30/12/2007 (Part2) смотреть онлайн
09:08

Raptopoulos 30/12/2007 (Part2)

Healthy Habits 16 просмотров
8061 Kleinigkeit микс Сток KGT MIX цена 1830 руб за 1 кг вес 10.8 кг./41 шт/19760 руб/482 руб смотреть онлайн
03:21

8061 Kleinigkeit микс Сток KGT MIX цена 1830 руб за 1 кг вес 10.8 кг./41 шт/19760 руб/482 руб

Healthy Habits 16 просмотров
ЭТА ИГРА УНИЖАЕТ МЕНЯ ★ Dark and Darker смотреть онлайн
39:43

ЭТА ИГРА УНИЖАЕТ МЕНЯ ★ Dark and Darker

Healthy Habits 17 просмотров
NASCAR Racing 2003 Season 01 19 2015 03 27 24 58 смотреть онлайн
00:16

NASCAR Racing 2003 Season 01 19 2015 03 27 24 58

Healthy Habits 16 просмотров
НИВА МАРШ в тюнинге на асфальте 90км/ч в БОЛОТЕ едет почти везде OFF ROAD 4X4 смотреть онлайн
18:18

НИВА МАРШ в тюнинге на асфальте 90км/ч в БОЛОТЕ едет почти везде OFF ROAD 4X4

Healthy Habits 34 просмотров
Redmi Note 10s Bgmi Test, HDR Extreme, FPS Test, Gyro Test, Graphics Test | Redmi note 10s смотреть онлайн
02:53

Redmi Note 10s Bgmi Test, HDR Extreme, FPS Test, Gyro Test, Graphics Test | Redmi note 10s

Healthy Habits 16 просмотров
Mexico Koka_ KARAN AUJLA_full video смотреть онлайн
03:37

Mexico Koka_ KARAN AUJLA_full video

Healthy Habits 18 просмотров
Привет из Чарльстона или Welcome To Charleston Часть 3 смотреть онлайн
12:32

Привет из Чарльстона или Welcome To Charleston Часть 3

Healthy Habits 16 просмотров
ЧТО В МОЕМ ТЕЛЕФОНЕ 2019/ Лиза Ипатова смотреть онлайн
06:48

ЧТО В МОЕМ ТЕЛЕФОНЕ 2019/ Лиза Ипатова

Healthy Habits 16 просмотров
Продаю вещи на HG 1 Minecraft Only.ru смотреть онлайн
01:06

Продаю вещи на HG 1 Minecraft Only.ru

Healthy Habits 16 просмотров
My Summer Car | 30th June 2018 | 1/6 | SquirrelPlus смотреть онлайн
47:33

My Summer Car | 30th June 2018 | 1/6 | SquirrelPlus

Healthy Habits 16 просмотров
Назад Вперед

За каждым успешным каналом стоит личность, идея и сотни часов кропотливого труда. Если вы здесь, значит, автор «Healthy Habits» уже сумел зацепить ваше внимание своим уникальным стилем или подачей. А мы на RUVIDEO позаботились о том, чтобы вы могли изучить весь архив его работ в максимально комфортных условиях — без лишней суеты и преград.

Почему за работами канала «Healthy Habits» так интересно наблюдать? Всё просто: это честный контент, который находит отклик в сердцах зрителей. На нашем ресурсе вы можете смотреть онлайн все видео любимого автора бесплатно и в хорошем качестве. Нам важно, чтобы вы видели каждую деталь и слышали каждый нюанс, поэтому мы используем только стабильные плееры из открытых источников Rutube.

Следите за новинками канала, пересматривайте старые шедевры и открывайте для себя новые грани творчества «Healthy Habits». Мы постоянно обновляем ленту, чтобы у вас под рукой всегда были самые свежие выпуски. Никаких сложных регистраций — только вы и творчество, которое вдохновляет. Приятного вам путешествия по миру авторского контента на RUVIDEO!

Видео взято из открытых источников Rutube. Если вы правообладатель, обратитесь к первоисточнику.