RUVIDEO

Автор / Канал: Геометрические загадки и решения: тренировка ума Страница 5

Numbers, ordinal, fractional. Реттік, бөлшек сандар. Порядковые числа и дроби смотреть онлайн
08:00

Numbers, ordinal, fractional. Реттік, бөлшек сандар. Порядковые числа и дроби

Геометрические загадки и решения: тренировка ума 17 просмотров
Барабанная дробь. Counter-Strike: Global Offensive №12 смотреть онлайн
12:24

Барабанная дробь. Counter-Strike: Global Offensive №12

Геометрические загадки и решения: тренировка ума 16 просмотров
ACS International School школа в Великобритании смотреть онлайн
02:04

ACS International School школа в Великобритании

Геометрические загадки и решения: тренировка ума 16 просмотров
Теория Вероятности ЕНТ. Задачи которые попадутся на ЕНТ. смотреть онлайн
10:19

Теория Вероятности ЕНТ. Задачи которые попадутся на ЕНТ.

Геометрические загадки и решения: тренировка ума 21 просмотров
Математика. Лекция №5. Уравнения прямых. Кривые второго порядка. (Часть 1) смотреть онлайн
30:56

Математика. Лекция №5. Уравнения прямых. Кривые второго порядка. (Часть 1)

Геометрические загадки и решения: тренировка ума 18 просмотров
Вычисление пределов через тангенсы Д200 смотреть онлайн
01:40

Вычисление пределов через тангенсы Д200

Геометрические загадки и решения: тренировка ума 20 просмотров
Исследование вращающегося трансформатора (он же СКВТ, он же - резольвер) смотреть онлайн
02:30

Исследование вращающегося трансформатора (он же СКВТ, он же - резольвер)

Геометрические загадки и решения: тренировка ума 307 просмотров
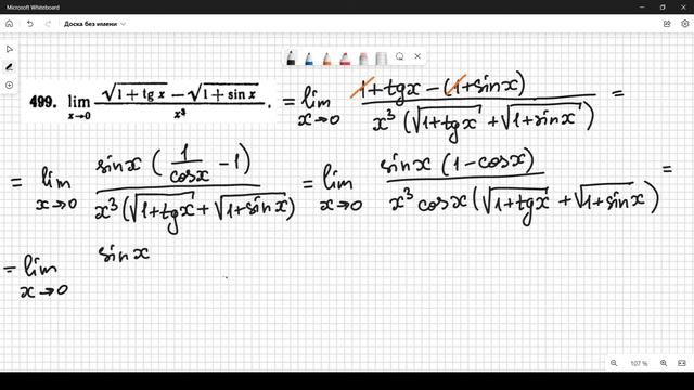
#499 номер 499 из Демидовича | Предел функции смотреть онлайн
04:10

#499 номер 499 из Демидовича | Предел функции

Геометрические загадки и решения: тренировка ума 35 просмотров
Урок 28. Профильный ЕГЭ по математике. Задание 15. Часть 2. Эксперт ЕГЭ Морушкина В.В. смотреть онлайн
59:37

Урок 28. Профильный ЕГЭ по математике. Задание 15. Часть 2. Эксперт ЕГЭ Морушкина В.В.

Геометрические загадки и решения: тренировка ума 16 просмотров
Simplifying a trigonometric expression using tangent смотреть онлайн
01:55

Simplifying a trigonometric expression using tangent

Геометрические загадки и решения: тренировка ума 16 просмотров
Понятие первообразной. смотреть онлайн
16:52

Понятие первообразной.

Геометрические загадки и решения: тренировка ума 18 просмотров
ЕГЭ,ЦЭ. Обратные тригонометрические функции вычисляем с азартом. смотреть онлайн
04:23

ЕГЭ,ЦЭ. Обратные тригонометрические функции вычисляем с азартом.

Геометрические загадки и решения: тренировка ума 16 просмотров
физика ЕГЭ 2016 тренировочная работа 4 часть 2 разбор задания 32 (дифракционная решетка) смотреть онлайн
11:08

физика ЕГЭ 2016 тренировочная работа 4 часть 2 разбор задания 32 (дифракционная решетка)

Геометрические загадки и решения: тренировка ума 17 просмотров
Разбор Задачи №13 из Варианта Ларина №289 (РЕШУ ЕГЭ 529297) смотреть онлайн
04:00

Разбор Задачи №13 из Варианта Ларина №289 (РЕШУ ЕГЭ 529297)

Геометрические загадки и решения: тренировка ума 21 просмотров
Прямая линия, кратчайшее расстояние между точек, между центрами двух объектов. Дно , ИсТина смотреть онлайн
10:53

Прямая линия, кратчайшее расстояние между точек, между центрами двух объектов. Дно , ИсТина

Геометрические загадки и решения: тренировка ума 17 просмотров
25 Поворот с левой полосы направо смотреть онлайн
00:11

25 Поворот с левой полосы направо

Геометрические загадки и решения: тренировка ума 16 просмотров
Как сделать бедренные и Коленные шарниры смотреть онлайн
19:20

Как сделать бедренные и Коленные шарниры

Геометрические загадки и решения: тренировка ума 17 просмотров
НАСАДКИ ДЛЯ ЗАГИБАНИЯ ! ХОЛОДНАЯ КОВКА ! COLD FORGING MACHINE. смотреть онлайн
05:20

НАСАДКИ ДЛЯ ЗАГИБАНИЯ ! ХОЛОДНАЯ КОВКА ! COLD FORGING MACHINE.

Геометрические загадки и решения: тренировка ума 17 просмотров
Лекция#10покурсу»Эксплуатация инструментальных систем»проф.дтн.КокаревВ.И.07.11.2022МДБ19-04 смотреть онлайн
01:35:47

Лекция#10покурсу»Эксплуатация инструментальных систем»проф.дтн.КокаревВ.И.07.11.2022МДБ19-04

Геометрические загадки и решения: тренировка ума 16 просмотров
Параметр. Две окружности и прямая смотреть онлайн
29:26

Параметр. Две окружности и прямая

Геометрические загадки и решения: тренировка ума 16 просмотров
Математический анализ - 1, Лекция 10, В.А.Тиморин. смотреть онлайн
01:26:42

Математический анализ - 1, Лекция 10, В.А.Тиморин.

Геометрические загадки и решения: тренировка ума 16 просмотров
Гладкие аналитические функции 3 смотреть онлайн
01:15:56

Гладкие аналитические функции 3

Геометрические загадки и решения: тренировка ума 17 просмотров
If AP, AQ are the two tangents to a circle with centre O so that angle POQ = 110º then then PAQ = смотреть онлайн
00:30

If AP, AQ are the two tangents to a circle with centre O so that angle POQ = 110º then then PAQ =

Геометрические загадки и решения: тренировка ума 16 просмотров
Все формулы движения по окружности | ЕГЭ 2024 по физике смотреть онлайн
10:30

Все формулы движения по окружности | ЕГЭ 2024 по физике

Геометрические загадки и решения: тренировка ума 23 просмотров
Назад Вперед

За каждым успешным каналом стоит личность, идея и сотни часов кропотливого труда. Если вы здесь, значит, автор «Геометрические загадки и решения: тренировка ума» уже сумел зацепить ваше внимание своим уникальным стилем или подачей. А мы на RUVIDEO позаботились о том, чтобы вы могли изучить весь архив его работ в максимально комфортных условиях — без лишней суеты и преград.

Почему за работами канала «Геометрические загадки и решения: тренировка ума» так интересно наблюдать? Всё просто: это честный контент, который находит отклик в сердцах зрителей. На нашем ресурсе вы можете смотреть онлайн все видео любимого автора бесплатно и в хорошем качестве. Нам важно, чтобы вы видели каждую деталь и слышали каждый нюанс, поэтому мы используем только стабильные плееры из открытых источников Rutube.

Следите за новинками канала, пересматривайте старые шедевры и открывайте для себя новые грани творчества «Геометрические загадки и решения: тренировка ума». Мы постоянно обновляем ленту, чтобы у вас под рукой всегда были самые свежие выпуски. Никаких сложных регистраций — только вы и творчество, которое вдохновляет. Приятного вам путешествия по миру авторского контента на RUVIDEO!

Видео взято из открытых источников Rutube. Если вы правообладатель, обратитесь к первоисточнику.