RUVIDEO

Автор: Геометрия: от простого к гениальному Страница 2

Виды дробей: Правильные и не правильные дроби. Чем они отличаются смотреть онлайн
03:10

Виды дробей: Правильные и не правильные дроби. Чем они отличаются

Геометрия: от простого к гениальному 16 просмотров
Упражнение № 954 (вариант 2) – Математика 6 класс – Мерзляк А.Г., Полонский В.Б., Якир М.С. смотреть онлайн
01:32

Упражнение № 954 (вариант 2) – Математика 6 класс – Мерзляк А.Г., Полонский В.Б., Якир М.С.

Геометрия: от простого к гениальному 16 просмотров
ВИКИПЕДИЯ СЛОВ 24.01 часть 2 с Марком Шейманом смотреть онлайн
01:16:50

ВИКИПЕДИЯ СЛОВ 24.01 часть 2 с Марком Шейманом

Геометрия: от простого к гениальному 16 просмотров
? 7th Grade, Unit 4, Lesson 12 "Finding the Percentage" Illustrative Mathematics смотреть онлайн
07:54

? 7th Grade, Unit 4, Lesson 12 "Finding the Percentage" Illustrative Mathematics

Геометрия: от простого к гениальному 16 просмотров
Урок № 7 "Буквенные выражения" (к рабочей тетради "Готовлюсь в 5-й") смотреть онлайн
13:15

Урок № 7 "Буквенные выражения" (к рабочей тетради "Готовлюсь в 5-й")

Геометрия: от простого к гениальному 17 просмотров
Математика Решите неравенство: 3 9^(-x)-28 3^(-x)+9 меньше или равно 0 смотреть онлайн
03:44

Математика Решите неравенство: 3 9^(-x)-28 3^(-x)+9 меньше или равно 0

Геометрия: от простого к гениальному 92 просмотров
"Стадо зайца на закрытии" Охота на зайца в Саратовской области смотреть онлайн
16:57

"Стадо зайца на закрытии" Охота на зайца в Саратовской области

Геометрия: от простого к гениальному 37 просмотров
Factorize x³ - 3x + 2 смотреть онлайн
07:44

Factorize x³ - 3x + 2

Геометрия: от простого к гениальному 16 просмотров
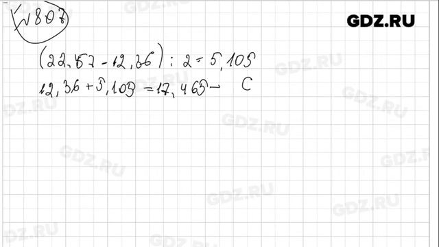
№ 807- Математика 5 класс Зубарева смотреть онлайн
01:39

№ 807- Математика 5 класс Зубарева

Геометрия: от простого к гениальному 18 просмотров
Винокурова И.М. Открытый урок. Выразительное исполнение экзерсиса у станка и на середине смотреть онлайн
41:20

Винокурова И.М. Открытый урок. Выразительное исполнение экзерсиса у станка и на середине

Геометрия: от простого к гениальному 27 просмотров
Дискретная случайная величина. Ряды распределения смотреть онлайн
06:10

Дискретная случайная величина. Ряды распределения

Геометрия: от простого к гениальному 54 просмотров
Патрон на порохе СИЛЬВЕР и надежная заглушка на дробь! смотреть онлайн
11:23

Патрон на порохе СИЛЬВЕР и надежная заглушка на дробь!

Геометрия: от простого к гениальному 61 просмотров
уравнения 1 смотреть онлайн
09:59

уравнения 1

Геометрия: от простого к гениальному 16 просмотров
Олимпиада по русскому языку 7 класс 1 часть (учи.ру ответы) смотреть онлайн
10:00

Олимпиада по русскому языку 7 класс 1 часть (учи.ру ответы)

Геометрия: от простого к гениальному 73 просмотров
Q357 | Factorise x^2+5√3 x+12 | Factorise x^2+5√3 x+12 | Factorise x square + 5 root 3 x + 12 смотреть онлайн
02:25

Q357 | Factorise x^2+5√3 x+12 | Factorise x^2+5√3 x+12 | Factorise x square + 5 root 3 x + 12

Геометрия: от простого к гениальному 17 просмотров
Упражнение № 73 (Вариант 1) – ГДЗ Алгебра 7 класс – Мерзляк А.Г., Полонский В.Б., Якир М.С. смотреть онлайн
02:24

Упражнение № 73 (Вариант 1) – ГДЗ Алгебра 7 класс – Мерзляк А.Г., Полонский В.Б., Якир М.С.

Геометрия: от простого к гениальному 23 просмотров
Сложение и вычитание смешанных чисел смотреть онлайн
05:25

Сложение и вычитание смешанных чисел

Геометрия: от простого к гениальному 17 просмотров
Решение диагностической работы ЕГЭ 2012 (продолжение) смотреть онлайн
07:28

Решение диагностической работы ЕГЭ 2012 (продолжение)

Геометрия: от простого к гениальному 17 просмотров
Ролик по пользованию сайтом "Местный сайт" смотреть онлайн
04:53

Ролик по пользованию сайтом "Местный сайт"

Геометрия: от простого к гениальному 16 просмотров
Математика 6. Урок 18 .Часть 2. смотреть онлайн
08:50

Математика 6. Урок 18 .Часть 2.

Геометрия: от простого к гениальному 16 просмотров
Вынесение множителя из под знака корня. 8 класс смотреть онлайн
11:30

Вынесение множителя из под знака корня. 8 класс

Геометрия: от простого к гениальному 30 просмотров
Все 20 задачи с РешуОГЭ -Тип 20 № 338757 - Самое подробное объяснение смотреть онлайн
03:39

Все 20 задачи с РешуОГЭ -Тип 20 № 338757 - Самое подробное объяснение

Геометрия: от простого к гениальному 126 просмотров
степени 35 ^ 5,4* 7 ^5,4 : базовый егэ смотреть онлайн
03:56

степени 35 ^ 5,4* 7 ^5,4 : базовый егэ

Геометрия: от простого к гениальному 16 просмотров
Задание № 47 - Математика 6 класс (Зубарева, Мордкович) смотреть онлайн
03:22

Задание № 47 - Математика 6 класс (Зубарева, Мордкович)

Геометрия: от простого к гениальному 21 просмотров
Назад Вперед

За каждым успешным каналом стоит личность, идея и сотни часов кропотливого труда. Если вы здесь, значит, автор «Геометрия: от простого к гениальному» уже сумел зацепить ваше внимание своим уникальным стилем или подачей. А мы на RUVIDEO позаботились о том, чтобы вы могли изучить весь архив его работ в максимально комфортных условиях — без лишней суеты и преград.

Почему за работами канала «Геометрия: от простого к гениальному» так интересно наблюдать? Всё просто: это честный контент, который находит отклик в сердцах зрителей. На нашем ресурсе вы можете смотреть онлайн все видео любимого автора бесплатно и в хорошем качестве. Нам важно, чтобы вы видели каждую деталь и слышали каждый нюанс, поэтому мы используем только стабильные плееры из открытых источников Rutube.

Следите за новинками канала, пересматривайте старые шедевры и открывайте для себя новые грани творчества «Геометрия: от простого к гениальному». Мы постоянно обновляем ленту, чтобы у вас под рукой всегда были самые свежие выпуски. Никаких сложных регистраций — только вы и творчество, которое вдохновляет. Приятного вам путешествия по миру авторского контента на RUVIDEO!

Видео взято из открытых источников Rutube. Если вы правообладатель, обратитесь к первоисточнику.