RUVIDEO

Автор: Решения геометрических проблем Страница 2

N 163 (1) Алгебра 10 класс Колягин смотреть онлайн
02:00

N 163 (1) Алгебра 10 класс Колягин

Решения геометрических проблем 31 просмотров
ПРАВОВЕСТ. Налог на прибыль. Март 2013 смотреть онлайн
13:28

ПРАВОВЕСТ. Налог на прибыль. Март 2013

Решения геометрических проблем 16 просмотров
Оптическое рандеву SpyGlass и или Discover Расширяя горизонты классического ЭРХПГ смотреть онлайн
02:14:46

Оптическое рандеву SpyGlass и или Discover Расширяя горизонты классического ЭРХПГ

Решения геометрических проблем 17 просмотров
ДРОБИЛЬНЫЕ КОВШИ MB НА ЗНАЧИМЫХ ОБЪЕКТАХ: ОЛИМПИАДА 2014! смотреть онлайн
00:20

ДРОБИЛЬНЫЕ КОВШИ MB НА ЗНАЧИМЫХ ОБЪЕКТАХ: ОЛИМПИАДА 2014!

Решения геометрических проблем 21 просмотров
№ 1198- Математика 5 класс Виленкин смотреть онлайн
03:19

№ 1198- Математика 5 класс Виленкин

Решения геометрических проблем 113 просмотров
Алгебра 7 класс Дорофеев, Суворова УПР 248 смотреть онлайн
02:05

Алгебра 7 класс Дорофеев, Суворова УПР 248

Решения геометрических проблем 27 просмотров
Математика 5 класс. Мерзляк А.Г. Задание 6 смотреть онлайн
01:34

Математика 5 класс. Мерзляк А.Г. Задание 6

Решения геометрических проблем 16 просмотров
Дроби, продолжение смотреть онлайн
44:03

Дроби, продолжение

Решения геометрических проблем 16 просмотров
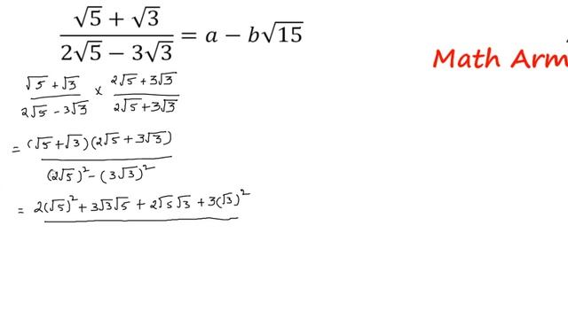
(√5+√3)/(2√5-3√3)=a-b√15 Solve the Given Equation and Find values of a and b. смотреть онлайн
06:47

(√5+√3)/(2√5-3√3)=a-b√15 Solve the Given Equation and Find values of a and b.

Решения геометрических проблем 18 просмотров
Как решать 7 задание ОГЭ. Марафон математики! смотреть онлайн
10:22

Как решать 7 задание ОГЭ. Марафон математики!

Решения геометрических проблем 16 просмотров
Сложение и вычитание натуральных чисел. Решение задач (006 p5) смотреть онлайн
02:40

Сложение и вычитание натуральных чисел. Решение задач (006 p5)

Решения геометрических проблем 18 просмотров
Задание №7 из ОГЭ/ РАЗБИРАЕМ ВСЕ ТИПЫ смотреть онлайн
15:16

Задание №7 из ОГЭ/ РАЗБИРАЕМ ВСЕ ТИПЫ

Решения геометрических проблем 32 просмотров
Снаряжаем охотничьи патроны на пернатую дичь смотреть онлайн
54:20

Снаряжаем охотничьи патроны на пернатую дичь

Решения геометрических проблем 19 просмотров
Задание №5 Подведем итоги. Глава 4 - ГДЗ по математике 6 класс (Бунимович) смотреть онлайн
01:09

Задание №5 Подведем итоги. Глава 4 - ГДЗ по математике 6 класс (Бунимович)

Решения геометрических проблем 17 просмотров
Разбор патронов 12 К времен СССР часть 2 смотреть онлайн
34:47

Разбор патронов 12 К времен СССР часть 2

Решения геометрических проблем 37 просмотров
Как извлекают золото из дробленной руды смотреть онлайн
02:11

Как извлекают золото из дробленной руды

Решения геометрических проблем 52 просмотров
123 Numbers | 1234 Number Names | 1 To 10 Numbers Song | 12345 Number Learning Kids Video смотреть онлайн
03:14

123 Numbers | 1234 Number Names | 1 To 10 Numbers Song | 12345 Number Learning Kids Video

Решения геометрических проблем 187 просмотров
Упражнение 510. Вариант А. (515 Часть 1) Математика 6 класс – Виленкин Н.Я. смотреть онлайн
01:05

Упражнение 510. Вариант А. (515 Часть 1) Математика 6 класс – Виленкин Н.Я.

Решения геометрических проблем 26 просмотров
Задание 34 ЕГЭ по химии (пример 77) смотреть онлайн
16:31

Задание 34 ЕГЭ по химии (пример 77)

Решения геометрических проблем 16 просмотров
Додавання і віднімання дробів з різними знаменниками 2 смотреть онлайн
10:26

Додавання і віднімання дробів з різними знаменниками 2

Решения геометрических проблем 16 просмотров
Ділення звичайних дробів. Розв’язування вправ [частина 1] | МАТЕМАТИКА 2 (6) клас смотреть онлайн
20:17

Ділення звичайних дробів. Розв’язування вправ [частина 1] | МАТЕМАТИКА 2 (6) клас

Решения геометрических проблем 16 просмотров
Solve 4/x-3=5/(2x+3). CLASS-10 QUADRATIC EQUATIONS IMPORTANT PROBLEM (CBSE 2014) смотреть онлайн
02:25

Solve 4/x-3=5/(2x+3). CLASS-10 QUADRATIC EQUATIONS IMPORTANT PROBLEM (CBSE 2014)

Решения геометрических проблем 16 просмотров
A13. How to Substitute Numbers смотреть онлайн
12:22

A13. How to Substitute Numbers

Решения геометрических проблем 16 просмотров
Математика сборник тестов 2020 ГЭЦ ответы смотреть онлайн
01:14

Математика сборник тестов 2020 ГЭЦ ответы

Решения геометрических проблем 17 просмотров
Назад Вперед

За каждым успешным каналом стоит личность, идея и сотни часов кропотливого труда. Если вы здесь, значит, автор «Решения геометрических проблем» уже сумел зацепить ваше внимание своим уникальным стилем или подачей. А мы на RUVIDEO позаботились о том, чтобы вы могли изучить весь архив его работ в максимально комфортных условиях — без лишней суеты и преград.

Почему за работами канала «Решения геометрических проблем» так интересно наблюдать? Всё просто: это честный контент, который находит отклик в сердцах зрителей. На нашем ресурсе вы можете смотреть онлайн все видео любимого автора бесплатно и в хорошем качестве. Нам важно, чтобы вы видели каждую деталь и слышали каждый нюанс, поэтому мы используем только стабильные плееры из открытых источников Rutube.

Следите за новинками канала, пересматривайте старые шедевры и открывайте для себя новые грани творчества «Решения геометрических проблем». Мы постоянно обновляем ленту, чтобы у вас под рукой всегда были самые свежие выпуски. Никаких сложных регистраций — только вы и творчество, которое вдохновляет. Приятного вам путешествия по миру авторского контента на RUVIDEO!

Видео взято из открытых источников Rutube. Если вы правообладатель, обратитесь к первоисточнику.