RUVIDEO

Автор / Канал: Геометрический мир Страница 3

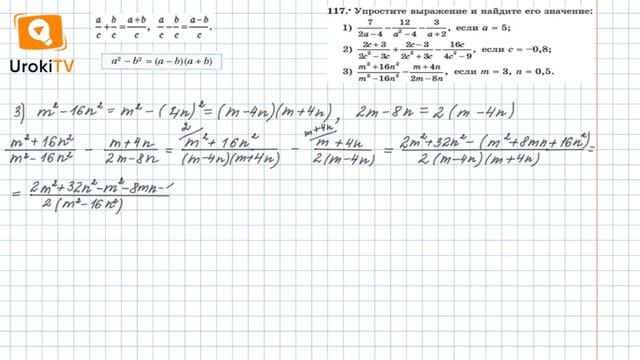
Задание №117 (3) – Гдз по алгебре 8 класс (Мерзляк) смотреть онлайн
09:19

Задание №117 (3) – Гдз по алгебре 8 класс (Мерзляк)

Геометрический мир 21 просмотров
Научись находить и сравнивать дроби смотреть онлайн
10:39

Научись находить и сравнивать дроби

Геометрический мир 16 просмотров
Вопросы к § 26 - Математика 5 класс Мерзляк смотреть онлайн
03:30

Вопросы к § 26 - Математика 5 класс Мерзляк

Геометрический мир 18 просмотров
Уравнение с дробями. 8 класс смотреть онлайн
00:43

Уравнение с дробями. 8 класс

Геометрический мир 16 просмотров
Упражнение № 555 (Вариант 4) – Математика 6 класс – Мерзляк А.Г., Полонский В.Б., Якир М.С. смотреть онлайн
04:48

Упражнение № 555 (Вариант 4) – Математика 6 класс – Мерзляк А.Г., Полонский В.Б., Якир М.С.

Геометрический мир 18 просмотров
Тесты ГЭЦ по математике 5 класса " Запись и чтение натуральных чисел" смотреть онлайн
14:04

Тесты ГЭЦ по математике 5 класса " Запись и чтение натуральных чисел"

Геометрический мир 19 просмотров
Страница 32-33 Задание 1 – ГДЗ по математике 4 класс (Дорофеев Г.В.) Часть 2 смотреть онлайн
00:52

Страница 32-33 Задание 1 – ГДЗ по математике 4 класс (Дорофеев Г.В.) Часть 2

Геометрический мир 25 просмотров
Линейная функция и ее график смотреть онлайн
08:04

Линейная функция и ее график

Геометрический мир 33 просмотров
1.22 - Геометрия 7-9 класс Погорелов смотреть онлайн
02:10

1.22 - Геометрия 7-9 класс Погорелов

Геометрический мир 14 просмотров
Топ 5 куль 12 калібру на орка | Росомаха смотреть онлайн
08:56

Топ 5 куль 12 калібру на орка | Росомаха

Геометрический мир 15 просмотров
Тема:Умножение и деление, переход через один разряд, объяснение, тест в описании смотреть онлайн
04:34

Тема:Умножение и деление, переход через один разряд, объяснение, тест в описании

Геометрический мир 14 просмотров
Задание № 1306 (и, к, л, м) - Математика 5 класс (Зубарева, Мордкович) смотреть онлайн
06:15

Задание № 1306 (и, к, л, м) - Математика 5 класс (Зубарева, Мордкович)

Геометрический мир 44 просмотров
Упражнение №159 §11. Сравнение десятичных дробей - ГДЗ по математике 6 класс (Бунимович) смотреть онлайн
01:28

Упражнение №159 §11. Сравнение десятичных дробей - ГДЗ по математике 6 класс (Бунимович)

Геометрический мир 19 просмотров
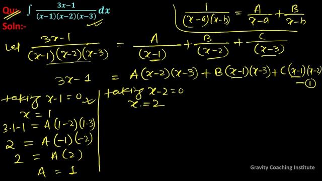
Q6 | Integrate ∫(3x-1)/(x-1)(x-2)(x-3) | Integral of (3x-1)/(x-1)(x-2)(x-3) | Partial Fractions смотреть онлайн
05:46

Q6 | Integrate ∫(3x-1)/(x-1)(x-2)(x-3) | Integral of (3x-1)/(x-1)(x-2)(x-3) | Partial Fractions

Геометрический мир 16 просмотров
Joey Jordison. Лучший профессиональный барабанщик на этот момент. смотреть онлайн
01:29

Joey Jordison. Лучший профессиональный барабанщик на этот момент.

Геометрический мир 18 просмотров
Решение ЕГЭ №7 Графика по информатике | Сборник К. Ю. Полякова №90 смотреть онлайн
02:38

Решение ЕГЭ №7 Графика по информатике | Сборник К. Ю. Полякова №90

Геометрический мир 16 просмотров
«Избранники» ФНС будут на особом контроле смотреть онлайн
07:26

«Избранники» ФНС будут на особом контроле

Геометрический мир 16 просмотров
№ 1117- Математика 5 класс Виленкин смотреть онлайн
05:29

№ 1117- Математика 5 класс Виленкин

Геометрический мир 156 просмотров
Enable Game Turbo 4.0 In Any Device ? How to add game turbo in any phone| PROBOT AKSHAT | смотреть онлайн
01:47

Enable Game Turbo 4.0 In Any Device ? How to add game turbo in any phone| PROBOT AKSHAT |

Геометрический мир 17 просмотров
Упражнение № 4.27 (Вариант А.Б.) – ГДЗ Алгебра 8 класс Мордкович А.Г. смотреть онлайн
02:41

Упражнение № 4.27 (Вариант А.Б.) – ГДЗ Алгебра 8 класс Мордкович А.Г.

Геометрический мир 18 просмотров
Контрольная работа №2 Математика 7 класс смотреть онлайн
08:24

Контрольная работа №2 Математика 7 класс

Геометрический мир 16 просмотров
18 dividido entre 3 , division 18 entre 3 procedimiento смотреть онлайн
00:40

18 dividido entre 3 , division 18 entre 3 procedimiento

Геометрический мир 16 просмотров
Evaluate Decimal Exponent of Decimal Number смотреть онлайн
01:54

Evaluate Decimal Exponent of Decimal Number

Геометрический мир 16 просмотров
подготовка к контрольной работе по теме Функции смотреть онлайн
22:53

подготовка к контрольной работе по теме Функции

Геометрический мир 16 просмотров
Назад Вперед

За каждым успешным каналом стоит личность, идея и сотни часов кропотливого труда. Если вы здесь, значит, автор «Геометрический мир» уже сумел зацепить ваше внимание своим уникальным стилем или подачей. А мы на RUVIDEO позаботились о том, чтобы вы могли изучить весь архив его работ в максимально комфортных условиях — без лишней суеты и преград.

Почему за работами канала «Геометрический мир» так интересно наблюдать? Всё просто: это честный контент, который находит отклик в сердцах зрителей. На нашем ресурсе вы можете смотреть онлайн все видео любимого автора бесплатно и в хорошем качестве. Нам важно, чтобы вы видели каждую деталь и слышали каждый нюанс, поэтому мы используем только стабильные плееры из открытых источников Rutube.

Следите за новинками канала, пересматривайте старые шедевры и открывайте для себя новые грани творчества «Геометрический мир». Мы постоянно обновляем ленту, чтобы у вас под рукой всегда были самые свежие выпуски. Никаких сложных регистраций — только вы и творчество, которое вдохновляет. Приятного вам путешествия по миру авторского контента на RUVIDEO!

Видео взято из открытых источников Rutube. Если вы правообладатель, обратитесь к первоисточнику.