RUVIDEO

Автор: Математические загадки Страница 4

Задание №505 - ГДЗ по математике 6 класс (Дорофеев Г.В., Шарыгин И.Ф.) смотреть онлайн
02:59

Задание №505 - ГДЗ по математике 6 класс (Дорофеев Г.В., Шарыгин И.Ф.)

Математические загадки 29 просмотров
Stoeger M3000 m3k(цилиндр) отстрел пуль Уно, Феттер, Техкрим спорт С. на 70метров. смотреть онлайн
04:26

Stoeger M3000 m3k(цилиндр) отстрел пуль Уно, Феттер, Техкрим спорт С. на 70метров.

Математические загадки 30 просмотров
Математика 6 класс Мерзляк, Полонский УПР 199 смотреть онлайн
01:36

Математика 6 класс Мерзляк, Полонский УПР 199

Математические загадки 26 просмотров
Дробление корма для перепелки Лунтика и К смотреть онлайн
04:42

Дробление корма для перепелки Лунтика и К

Математические загадки 16 просмотров
№ 6.19 - Алгебра 8 класс Мордкович смотреть онлайн
04:53

№ 6.19 - Алгебра 8 класс Мордкович

Математические загадки 18 просмотров
? ТОП 5 МАТЕМАТИЧЕСКИЕ ЗАДАЧКИ КОТОРЫЕ СВОДЯТ ИНТЕРНЕТ С УМА | Топ Топы! смотреть онлайн
04:13

? ТОП 5 МАТЕМАТИЧЕСКИЕ ЗАДАЧКИ КОТОРЫЕ СВОДЯТ ИНТЕРНЕТ С УМА | Топ Топы!

Математические загадки 19 просмотров
ЕГЭ. Математика, ФИПИ. Базовый уровень. Действия со степенями. Задание №2. Вариант 12323. смотреть онлайн
03:29

ЕГЭ. Математика, ФИПИ. Базовый уровень. Действия со степенями. Задание №2. Вариант 12323.

Математические загадки 16 просмотров
7 давление в жидкостях смотреть онлайн
30:49

7 давление в жидкостях

Математические загадки 16 просмотров
Математика 5 класс Мерзляк, Полонский УПР 536 смотреть онлайн
01:37

Математика 5 класс Мерзляк, Полонский УПР 536

Математические загадки 51 просмотров
28 квітня 2023 Чергова 8 сесія . Прийняття та передача автобуса Мерседес 446 смотреть онлайн
06:31

28 квітня 2023 Чергова 8 сесія . Прийняття та передача автобуса Мерседес 446

Математические загадки 16 просмотров
графический способ решения системы 7 класс алгебра , класс математика смотреть онлайн
09:28

графический способ решения системы 7 класс алгебра , класс математика

Математические загадки 36 просмотров
понятие доли, части смотреть онлайн
07:42

понятие доли, части

Математические загадки 18 просмотров
мастер на Т37, почти не нанеся урона смотреть онлайн
07:54

мастер на Т37, почти не нанеся урона

Математические загадки 16 просмотров
Перевод обыкновенных дробей в десятичные смотреть онлайн
06:10

Перевод обыкновенных дробей в десятичные

Математические загадки 16 просмотров
21 Абсолютная погрешность смотреть онлайн
10:25

21 Абсолютная погрешность

Математические загадки 16 просмотров
Алгебра | Мерзляк | 7 Класс | Задание 9 | Ответы, гдз, решебник смотреть онлайн
02:09

Алгебра | Мерзляк | 7 Класс | Задание 9 | Ответы, гдз, решебник

Математические загадки 19 просмотров
ЧОКИ ДЖЕМИНИ 20 Калибр!! Сравнения С Родним Чоком! смотреть онлайн
21:19

ЧОКИ ДЖЕМИНИ 20 Калибр!! Сравнения С Родним Чоком!

Математические загадки 67 просмотров
Rozwiąż nierówność x2−8x+7≥0 смотреть онлайн
01:40

Rozwiąż nierówność x2−8x+7≥0

Математические загадки 16 просмотров
Сложение и вычитание дробей с разными знаменателями смотреть онлайн
05:46

Сложение и вычитание дробей с разными знаменателями

Математические загадки 16 просмотров
Алгебра 8. Подготовка к контрольной работе №3. Задание 4 смотреть онлайн
06:05

Алгебра 8. Подготовка к контрольной работе №3. Задание 4

Математические загадки 18 просмотров
5 задание из ЕГЭ смотреть онлайн
01:46

5 задание из ЕГЭ

Математические загадки 16 просмотров
Упражнение №15 §1. Что мы знаем о дробях - ГДЗ по математике 6 класс (Бунимович) смотреть онлайн
04:51

Упражнение №15 §1. Что мы знаем о дробях - ГДЗ по математике 6 класс (Бунимович)

Математические загадки 16 просмотров
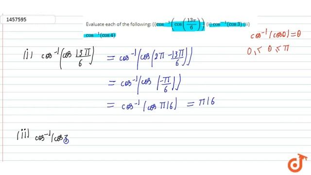
Evaluate each of the following: (i)`cos^(-1)(cos((13pi)/6))` (ii) `cos^(-1)(cos3)` (iii) `cos^(-... смотреть онлайн
03:19

Evaluate each of the following: (i)`cos^(-1)(cos((13pi)/6))` (ii) `cos^(-1)(cos3)` (iii) `cos^(-...

Математические загадки 16 просмотров
How to bisect 95° angle using compass. shsirclasses. смотреть онлайн
03:09

How to bisect 95° angle using compass. shsirclasses.

Математические загадки 16 просмотров
Назад Вперед

За каждым успешным каналом стоит личность, идея и сотни часов кропотливого труда. Если вы здесь, значит, автор «Математические загадки» уже сумел зацепить ваше внимание своим уникальным стилем или подачей. А мы на RUVIDEO позаботились о том, чтобы вы могли изучить весь архив его работ в максимально комфортных условиях — без лишней суеты и преград.

Почему за работами канала «Математические загадки» так интересно наблюдать? Всё просто: это честный контент, который находит отклик в сердцах зрителей. На нашем ресурсе вы можете смотреть онлайн все видео любимого автора бесплатно и в хорошем качестве. Нам важно, чтобы вы видели каждую деталь и слышали каждый нюанс, поэтому мы используем только стабильные плееры из открытых источников Rutube.

Следите за новинками канала, пересматривайте старые шедевры и открывайте для себя новые грани творчества «Математические загадки». Мы постоянно обновляем ленту, чтобы у вас под рукой всегда были самые свежие выпуски. Никаких сложных регистраций — только вы и творчество, которое вдохновляет. Приятного вам путешествия по миру авторского контента на RUVIDEO!

Видео взято из открытых источников Rutube. Если вы правообладатель, обратитесь к первоисточнику.