RUVIDEO

Автор / Канал: Геометрический Ветер Страница 8

Термопласт Автомат г.Грозный Автоматстром смотреть онлайн
00:25

Термопласт Автомат г.Грозный Автоматстром

Геометрический Ветер 20 просмотров
Булат и Финист: на гусеницах и колёсах смотреть онлайн
10:39

Булат и Финист: на гусеницах и колёсах

Геометрический Ветер 84 просмотров
БАГГИ на базе ГАЗ. Доработка ГБЦ (часть 3) ГАЗ 53-66 смотреть онлайн
07:27

БАГГИ на базе ГАЗ. Доработка ГБЦ (часть 3) ГАЗ 53-66

Геометрический Ветер 64 просмотров
Сборка головки блока цилиндра газ 3307 часть 13 смотреть онлайн
08:59

Сборка головки блока цилиндра газ 3307 часть 13

Геометрический Ветер 50 просмотров
Минитрактор японский KUBOTA GL19 смотреть онлайн
02:57

Минитрактор японский KUBOTA GL19

Геометрический Ветер 20 просмотров
Хонингование цилиндра компрессора. Поршневой компрессор СБ4/C-100.LB40 смотреть онлайн
00:50

Хонингование цилиндра компрессора. Поршневой компрессор СБ4/C-100.LB40

Геометрический Ветер 44 просмотров
Вскрытие цилиндра Yale 1000 series lock picking смотреть онлайн
00:32

Вскрытие цилиндра Yale 1000 series lock picking

Геометрический Ветер 37 просмотров
Онлайн калькулятор расчета стоимости доставки груза смотреть онлайн
00:46

Онлайн калькулятор расчета стоимости доставки груза

Геометрический Ветер 17 просмотров
Кубы выпели 15 литров воды смотреть онлайн
01:24

Кубы выпели 15 литров воды

Геометрический Ветер 17 просмотров
Курсы повышения квалификации. Физика. Занятие 5. Гидростатика смотреть онлайн
02:59:29

Курсы повышения квалификации. Физика. Занятие 5. Гидростатика

Геометрический Ветер 18 просмотров
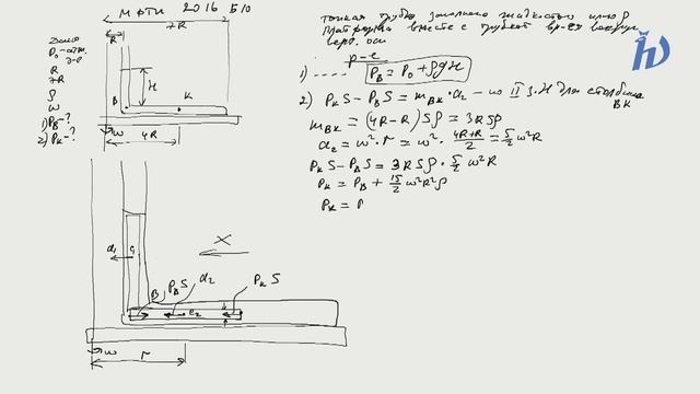
Физика Горизонтальный цилиндрический сосуд разделен подвижным поршнем на две части: в одной части смотреть онлайн
05:42

Физика Горизонтальный цилиндрический сосуд разделен подвижным поршнем на две части: в одной части

Геометрический Ветер 110 просмотров
Physics Ch 67.1 Advanced E&M: Review Vectors (92 of 113) Cylindrical Coordinates: Surface Integral смотреть онлайн
04:12

Physics Ch 67.1 Advanced E&M: Review Vectors (92 of 113) Cylindrical Coordinates: Surface Integral

Геометрический Ветер 16 просмотров
10.04.22 Канализационный люк №3 смотреть онлайн
00:43

10.04.22 Канализационный люк №3

Геометрический Ветер 16 просмотров
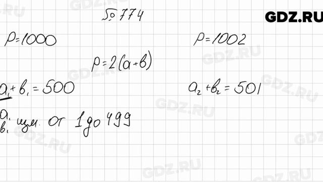
№ 774 - Алгебра 8 класс Мерзляк смотреть онлайн
02:14

№ 774 - Алгебра 8 класс Мерзляк

Геометрический Ветер 18 просмотров
Фреза 300R 63, насадка C16 FMB22 смотреть онлайн
02:12

Фреза 300R 63, насадка C16 FMB22

Геометрический Ветер 18 просмотров
Оправка универсальная под фрезы 32 мм со шпонкой Морзе 4 (МТ4, КМ4) смотреть онлайн
00:53

Оправка универсальная под фрезы 32 мм со шпонкой Морзе 4 (МТ4, КМ4)

Геометрический Ветер 50 просмотров
Прав кръгов конус Елементи смотреть онлайн
08:47

Прав кръгов конус Елементи

Геометрический Ветер 19 просмотров
Обслуживание вилок эндуро К2R. Часть 2. 300, 450 и 2Т смотреть онлайн
08:30

Обслуживание вилок эндуро К2R. Часть 2. 300, 450 и 2Т

Геометрический Ветер 46 просмотров
Спиной мозг, ໄຂສັນຫລັງຂອງຄົນ. смотреть онлайн
34:33

Спиной мозг, ໄຂສັນຫລັງຂອງຄົນ.

Геометрический Ветер 38 просмотров
Мастер-класс шапка с отворотом из пряжи ВИРДЖИНИЯ смотреть онлайн
45:19

Мастер-класс шапка с отворотом из пряжи ВИРДЖИНИЯ

Геометрический Ветер 24 просмотров
40 ЛЕТ БЕЗ СВЕТА, БЕЗ УДОБРЕНИЙ, БЕЗ ВОЗДУХА?? ПРОВЕРИМ! смотреть онлайн
11:43

40 ЛЕТ БЕЗ СВЕТА, БЕЗ УДОБРЕНИЙ, БЕЗ ВОЗДУХА?? ПРОВЕРИМ!

Геометрический Ветер 16 просмотров
ЕГЭ 2022. Профильная математика. Логарифмические и показательные уравнения. Часть 2 смотреть онлайн
14:06

ЕГЭ 2022. Профильная математика. Логарифмические и показательные уравнения. Часть 2

Геометрический Ветер 16 просмотров
Обработка края .Finishing Edge смотреть онлайн
03:47

Обработка края .Finishing Edge

Геометрический Ветер 16 просмотров
4 Перпендикулярность плоскостей 49-56 смотреть онлайн
41:56

4 Перпендикулярность плоскостей 49-56

Геометрический Ветер 17 просмотров
Назад Вперед

За каждым успешным каналом стоит личность, идея и сотни часов кропотливого труда. Если вы здесь, значит, автор «Геометрический Ветер» уже сумел зацепить ваше внимание своим уникальным стилем или подачей. А мы на RUVIDEO позаботились о том, чтобы вы могли изучить весь архив его работ в максимально комфортных условиях — без лишней суеты и преград.

Почему за работами канала «Геометрический Ветер» так интересно наблюдать? Всё просто: это честный контент, который находит отклик в сердцах зрителей. На нашем ресурсе вы можете смотреть онлайн все видео любимого автора бесплатно и в хорошем качестве. Нам важно, чтобы вы видели каждую деталь и слышали каждый нюанс, поэтому мы используем только стабильные плееры из открытых источников Rutube.

Следите за новинками канала, пересматривайте старые шедевры и открывайте для себя новые грани творчества «Геометрический Ветер». Мы постоянно обновляем ленту, чтобы у вас под рукой всегда были самые свежие выпуски. Никаких сложных регистраций — только вы и творчество, которое вдохновляет. Приятного вам путешествия по миру авторского контента на RUVIDEO!

Видео взято из открытых источников Rutube. Если вы правообладатель, обратитесь к первоисточнику.