RUVIDEO

Автор / Канал: Геометрия в космосе: уроки о формах во Вселенной Страница 4

Лайфхаки Немецкий для путешествий смотреть онлайн
26:15

Лайфхаки Немецкий для путешествий

Геометрия в космосе: уроки о формах во Вселенной 16 просмотров
Упражнение 362 Часть 2 (Задание 1212) – Математика 5 класс – Виленкин Н.Я. смотреть онлайн
05:39

Упражнение 362 Часть 2 (Задание 1212) – Математика 5 класс – Виленкин Н.Я.

Геометрия в космосе: уроки о формах во Вселенной 37 просмотров
5. Проценты контрольная работа смотреть онлайн
15:02

5. Проценты контрольная работа

Геометрия в космосе: уроки о формах во Вселенной 16 просмотров
Строение электронных оболочек атомов, порядок их заполнения смотреть онлайн
16:27

Строение электронных оболочек атомов, порядок их заполнения

Геометрия в космосе: уроки о формах во Вселенной 147 просмотров
Открылись по лисе 18 11 23 г смотреть онлайн
10:14

Открылись по лисе 18 11 23 г

Геометрия в космосе: уроки о формах во Вселенной 16 просмотров
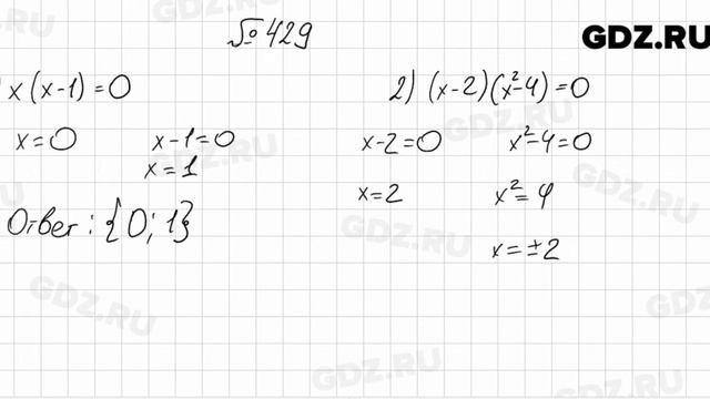
№ 429 - Алгебра 8 класс Мерзляк смотреть онлайн
01:50

№ 429 - Алгебра 8 класс Мерзляк

Геометрия в космосе: уроки о формах во Вселенной 25 просмотров
What is mean by 16 2/3 % ? смотреть онлайн
02:51

What is mean by 16 2/3 % ?

Геометрия в космосе: уроки о формах во Вселенной 16 просмотров
В каком ты классе: смотреть онлайн
02:10

В каком ты классе:

Геометрия в космосе: уроки о формах во Вселенной 42 просмотров
ЧТО БУСТА СЕКТОР Б НЕ БУДЕТ ТЕРС ВСЕХ ОБМАНУЛ!!!!!!! смотреть онлайн
10:22

ЧТО БУСТА СЕКТОР Б НЕ БУДЕТ ТЕРС ВСЕХ ОБМАНУЛ!!!!!!!

Геометрия в космосе: уроки о формах во Вселенной 21 просмотров
ДЕЛЕНИЕ ДЕСЯТИЧНЫХ ДРОБЕЙ. ЧАСТЬ I смотреть онлайн
00:41

ДЕЛЕНИЕ ДЕСЯТИЧНЫХ ДРОБЕЙ. ЧАСТЬ I

Геометрия в космосе: уроки о формах во Вселенной 16 просмотров
Контрольная работа русский язык, Задание 24.04.2020 смотреть онлайн
11:44

Контрольная работа русский язык, Задание 24.04.2020

Геометрия в космосе: уроки о формах во Вселенной 16 просмотров
Перевести дробь в десятичный вид2 Д429 Rec 01 11 22 смотреть онлайн
01:29

Перевести дробь в десятичный вид2 Д429 Rec 01 11 22

Геометрия в космосе: уроки о формах во Вселенной 16 просмотров
Как преобразовать обыкновенные дроби в десятичные смотреть онлайн
08:28

Как преобразовать обыкновенные дроби в десятичные

Геометрия в космосе: уроки о формах во Вселенной 42 просмотров
ОГЭ 2015 (ГИА) ДЕМО по математике № 23, часть 2 (алгебра) смотреть онлайн
11:32

ОГЭ 2015 (ГИА) ДЕМО по математике № 23, часть 2 (алгебра)

Геометрия в космосе: уроки о формах во Вселенной 17 просмотров
20200508 191258 Мое ружье МР 155 смотреть онлайн
12:10

20200508 191258 Мое ружье МР 155

Геометрия в космосе: уроки о формах во Вселенной 27 просмотров
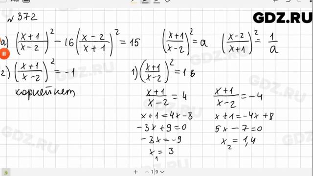
№ 372 - Алгебра 9 класс Макарычев смотреть онлайн
06:16

№ 372 - Алгебра 9 класс Макарычев

Геометрия в космосе: уроки о формах во Вселенной 58 просмотров
Надрезаем патрон 12 кал. дробь 3-ка смотреть онлайн
00:34

Надрезаем патрон 12 кал. дробь 3-ка

Геометрия в космосе: уроки о формах во Вселенной 18 просмотров
22 x 44 rent house plan design II 22 x 44 ghar ka naksha II 3 bhk house plan смотреть онлайн
09:09

22 x 44 rent house plan design II 22 x 44 ghar ka naksha II 3 bhk house plan

Геометрия в космосе: уроки о формах во Вселенной 16 просмотров
№ 339 - Математика 6 класс Зубарева смотреть онлайн
02:41

№ 339 - Математика 6 класс Зубарева

Геометрия в космосе: уроки о формах во Вселенной 18 просмотров
12' X 80' FEET HOUSE PLAN /GHAR KA NAKSHA 12 feet by 80 feet/3BHK PLAN/960 Sq Ft Ghar ka Plan смотреть онлайн
07:05

12' X 80' FEET HOUSE PLAN /GHAR KA NAKSHA 12 feet by 80 feet/3BHK PLAN/960 Sq Ft Ghar ka Plan

Геометрия в космосе: уроки о формах во Вселенной 16 просмотров
4 клас Дроби. Розв'язуємо задачі смотреть онлайн
09:33

4 клас Дроби. Розв'язуємо задачі

Геометрия в космосе: уроки о формах во Вселенной 16 просмотров
Контрольная по математике за 3 класс смотреть онлайн
12:18

Контрольная по математике за 3 класс

Геометрия в космосе: уроки о формах во Вселенной 22 просмотров
"В доме 8 дробь 16" Батарагина Василиса, Бланденбург София ВТС Летучки смотреть онлайн
01:27

"В доме 8 дробь 16" Батарагина Василиса, Бланденбург София ВТС Летучки

Геометрия в космосе: уроки о формах во Вселенной 17 просмотров
Решение проблемы с недопустимыми символами, которые не принимаются в НАСЭД смотреть онлайн
02:33

Решение проблемы с недопустимыми символами, которые не принимаются в НАСЭД

Геометрия в космосе: уроки о формах во Вселенной 590 просмотров
Назад Вперед

За каждым успешным каналом стоит личность, идея и сотни часов кропотливого труда. Если вы здесь, значит, автор «Геометрия в космосе: уроки о формах во Вселенной» уже сумел зацепить ваше внимание своим уникальным стилем или подачей. А мы на RUVIDEO позаботились о том, чтобы вы могли изучить весь архив его работ в максимально комфортных условиях — без лишней суеты и преград.

Почему за работами канала «Геометрия в космосе: уроки о формах во Вселенной» так интересно наблюдать? Всё просто: это честный контент, который находит отклик в сердцах зрителей. На нашем ресурсе вы можете смотреть онлайн все видео любимого автора бесплатно и в хорошем качестве. Нам важно, чтобы вы видели каждую деталь и слышали каждый нюанс, поэтому мы используем только стабильные плееры из открытых источников Rutube.

Следите за новинками канала, пересматривайте старые шедевры и открывайте для себя новые грани творчества «Геометрия в космосе: уроки о формах во Вселенной». Мы постоянно обновляем ленту, чтобы у вас под рукой всегда были самые свежие выпуски. Никаких сложных регистраций — только вы и творчество, которое вдохновляет. Приятного вам путешествия по миру авторского контента на RUVIDEO!

Видео взято из открытых источников Rutube. Если вы правообладатель, обратитесь к первоисточнику.