RUVIDEO

Автор: Геометрия: формирование воображения Страница 3

ЕГЭ по математике. Профильный уровень. Наибольшее и наименьшее значение функций. Задания: 56 - 60 смотреть онлайн
15:58

ЕГЭ по математике. Профильный уровень. Наибольшее и наименьшее значение функций. Задания: 56 - 60

Геометрия: формирование воображения 16 просмотров
Задание 64 – ГДЗ по математике 4 класс (Чекин А.Л.) Часть 1 смотреть онлайн
02:24

Задание 64 – ГДЗ по математике 4 класс (Чекин А.Л.) Часть 1

Геометрия: формирование воображения 16 просмотров
Упражнение № 933 – Математика 6 класс – Мерзляк А.Г., Полонский В.Б., Якир М.С. смотреть онлайн
03:36

Упражнение № 933 – Математика 6 класс – Мерзляк А.Г., Полонский В.Б., Якир М.С.

Геометрия: формирование воображения 25 просмотров
Упражнение № 408 – Математика 6 класс – Мерзляк А.Г., Полонский В.Б., Якир М.С. смотреть онлайн
03:44

Упражнение № 408 – Математика 6 класс – Мерзляк А.Г., Полонский В.Б., Якир М.С.

Геометрия: формирование воображения 30 просмотров
Samsung Galaxy Z Fold 5 Vs Galaxy Z Fold 4 | Z Fold 5 Vs Z Fold 4 Review смотреть онлайн
04:08

Samsung Galaxy Z Fold 5 Vs Galaxy Z Fold 4 | Z Fold 5 Vs Z Fold 4 Review

Геометрия: формирование воображения 51 просмотров
3 divided by 4 (3 ÷ 4 or 3/4) смотреть онлайн
01:26

3 divided by 4 (3 ÷ 4 or 3/4)

Геометрия: формирование воображения 16 просмотров
Задание №10 ЕГЭ математика смотреть онлайн
08:32

Задание №10 ЕГЭ математика

Геометрия: формирование воображения 16 просмотров
competitive exam ll shortvideo ll tricky calculation смотреть онлайн
00:52

competitive exam ll shortvideo ll tricky calculation

Геометрия: формирование воображения 20 просмотров
How to Find Three Equivalent Fractions for 2/3 (⅔) смотреть онлайн
01:24

How to Find Three Equivalent Fractions for 2/3 (⅔)

Геометрия: формирование воображения 16 просмотров
Сложение и вычитание дробей смотреть онлайн
06:49

Сложение и вычитание дробей

Геометрия: формирование воображения 16 просмотров
решение дробно-рационального выражения смотреть онлайн
02:28

решение дробно-рационального выражения

Геометрия: формирование воображения 16 просмотров
SISTEMA DE ECUACIONES LINEALES 2X2. MÉTODO DE SUSTITUCIÓN. EJERCICIO #3. смотреть онлайн
10:04

SISTEMA DE ECUACIONES LINEALES 2X2. MÉTODO DE SUSTITUCIÓN. EJERCICIO #3.

Геометрия: формирование воображения 17 просмотров
$\Логика ССб 2/$мем с мозгом смотреть онлайн
00:10

$\Логика ССб 2/$мем с мозгом

Геометрия: формирование воображения 15 просмотров
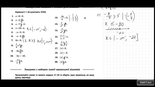
Целые и дробные рациональные неравенства. Подготовка к ЗНО. Урок 89 смотреть онлайн
15:29

Целые и дробные рациональные неравенства. Подготовка к ЗНО. Урок 89

Геометрия: формирование воображения 43 просмотров
15 человек с голубым лицом 2 смотреть онлайн
05:38

15 человек с голубым лицом 2

Геометрия: формирование воображения 15 просмотров
Упражнение № 2.39 (Вариант В) – ГДЗ Алгебра 8 класс Мордкович А.Г. смотреть онлайн
02:25

Упражнение № 2.39 (Вариант В) – ГДЗ Алгебра 8 класс Мордкович А.Г.

Геометрия: формирование воображения 19 просмотров
Найдите значение выражения смотреть онлайн
02:46

Найдите значение выражения

Геометрия: формирование воображения 15 просмотров
Упражнение № 55 (Вариант 2) – ГДЗ Алгебра 7 класс – Мерзляк А.Г., Полонский В.Б., Якир М.С. смотреть онлайн
05:23

Упражнение № 55 (Вариант 2) – ГДЗ Алгебра 7 класс – Мерзляк А.Г., Полонский В.Б., Якир М.С.

Геометрия: формирование воображения 15 просмотров
Тардийский Подкаст #24. ФЛЕЙМ: "Институциональная экономика" [16+] смотреть онлайн
01:28:11

Тардийский Подкаст #24. ФЛЕЙМ: "Институциональная экономика" [16+]

Геометрия: формирование воображения 15 просмотров
How to write fractions, the division sign and degrees symbol in Word and PowerPoint смотреть онлайн
03:06

How to write fractions, the division sign and degrees symbol in Word and PowerPoint

Геометрия: формирование воображения 19 просмотров
Полезные приложения для учебы! iPhone + Apple Wacth смотреть онлайн
01:47

Полезные приложения для учебы! iPhone + Apple Wacth

Геометрия: формирование воображения 16 просмотров
10 класс Показательные уранения Часть 1 смотреть онлайн
21:49

10 класс Показательные уранения Часть 1

Геометрия: формирование воображения 16 просмотров
ЕГЭ по математике, c6, уравнение в целых числах смотреть онлайн
01:19

ЕГЭ по математике, c6, уравнение в целых числах

Геометрия: формирование воображения 16 просмотров
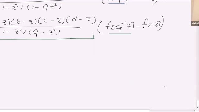
Михаил Васильев — Полиномы Аски-Вильсона и их вырождения (3/3) смотреть онлайн
01:31:32

Михаил Васильев — Полиномы Аски-Вильсона и их вырождения (3/3)

Геометрия: формирование воображения 16 просмотров
Назад Вперед

За каждым успешным каналом стоит личность, идея и сотни часов кропотливого труда. Если вы здесь, значит, автор «Геометрия: формирование воображения» уже сумел зацепить ваше внимание своим уникальным стилем или подачей. А мы на RUVIDEO позаботились о том, чтобы вы могли изучить весь архив его работ в максимально комфортных условиях — без лишней суеты и преград.

Почему за работами канала «Геометрия: формирование воображения» так интересно наблюдать? Всё просто: это честный контент, который находит отклик в сердцах зрителей. На нашем ресурсе вы можете смотреть онлайн все видео любимого автора бесплатно и в хорошем качестве. Нам важно, чтобы вы видели каждую деталь и слышали каждый нюанс, поэтому мы используем только стабильные плееры из открытых источников Rutube.

Следите за новинками канала, пересматривайте старые шедевры и открывайте для себя новые грани творчества «Геометрия: формирование воображения». Мы постоянно обновляем ленту, чтобы у вас под рукой всегда были самые свежие выпуски. Никаких сложных регистраций — только вы и творчество, которое вдохновляет. Приятного вам путешествия по миру авторского контента на RUVIDEO!

Видео взято из открытых источников Rutube. Если вы правообладатель, обратитесь к первоисточнику.