RUVIDEO

Автор / Канал: Спешите ремонтироваться: время – деньги Страница 8

Станция метро «Бутырская» откроется в 2015 году смотреть онлайн
04:37

Станция метро «Бутырская» откроется в 2015 году

Спешите ремонтироваться: время – деньги 17 просмотров
#406 ЖД "На Пустошкина", г. Анапа, студия. Ремонт квартир в Анапе и Новороссийске. смотреть онлайн
04:57

#406 ЖД "На Пустошкина", г. Анапа, студия. Ремонт квартир в Анапе и Новороссийске.

Спешите ремонтироваться: время – деньги 16 просмотров
Установка лебёдки Винч 12000 смотреть онлайн
02:44

Установка лебёдки Винч 12000

Спешите ремонтироваться: время – деньги 19 просмотров
Квартира в Горячем Ключе в ЖК "Лебединое озеро" смотреть онлайн
06:07

Квартира в Горячем Ключе в ЖК "Лебединое озеро"

Спешите ремонтироваться: время – деньги 28 просмотров
1 ноября ДК НЗТА смотреть онлайн
35:35

1 ноября ДК НЗТА

Спешите ремонтироваться: время – деньги 17 просмотров
Что можно купить на блошином рынке в Москве? #блошиныйрынок #барахолка777 #вернисаж #антиквариат смотреть онлайн
00:59

Что можно купить на блошином рынке в Москве? #блошиныйрынок #барахолка777 #вернисаж #антиквариат

Спешите ремонтироваться: время – деньги 25 просмотров
Как не попасть на капиталку после покупки авто??? смотреть онлайн
14:11

Как не попасть на капиталку после покупки авто???

Спешите ремонтироваться: время – деньги 17 просмотров
ASUS Zenbook UX303U Complete Take Apart How to complete disassemble teardown смотреть онлайн
08:34

ASUS Zenbook UX303U Complete Take Apart How to complete disassemble teardown

Спешите ремонтироваться: время – деньги 273 просмотров
Как сделать гидрик не покупая новый на ваз-21124 Двенашка смотреть онлайн
11:56

Как сделать гидрик не покупая новый на ваз-21124 Двенашка

Спешите ремонтироваться: время – деньги 46 просмотров
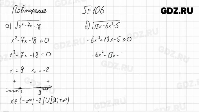
Повторение № 101-112 - Алгебра 8 класс Арефьева смотреть онлайн
35:44

Повторение № 101-112 - Алгебра 8 класс Арефьева

Спешите ремонтироваться: время – деньги 19 просмотров
Hyundai ix55 vs параплан.mp4 смотреть онлайн
10:49

Hyundai ix55 vs параплан.mp4

Спешите ремонтироваться: время – деньги 56 просмотров
Обзор чемоданов на колесах Travelite Portofino Anthracite смотреть онлайн
01:23

Обзор чемоданов на колесах Travelite Portofino Anthracite

Спешите ремонтироваться: время – деньги 17 просмотров
Хабиб-Океан-deep-10 часов смотреть онлайн
10:31:38

Хабиб-Океан-deep-10 часов

Спешите ремонтироваться: время – деньги 17 просмотров
Заниженный УАЗ на 1JZ. Первый ВЫЕЗД! смотреть онлайн
14:37

Заниженный УАЗ на 1JZ. Первый ВЫЕЗД!

Спешите ремонтироваться: время – деньги 17 просмотров
Шумилова улица Волгоград ремонт дороги смотреть онлайн
01:32

Шумилова улица Волгоград ремонт дороги

Спешите ремонтироваться: время – деньги 18 просмотров
Помещение свободного назначения. ЖК "Бриз" Ленина 183 смотреть онлайн
01:50

Помещение свободного назначения. ЖК "Бриз" Ленина 183

Спешите ремонтироваться: время – деньги 18 просмотров
Блок реле для Мазда МПВ-1 1996 смотреть онлайн
03:39

Блок реле для Мазда МПВ-1 1996

Спешите ремонтироваться: время – деньги 43 просмотров
Долг платежом красен. День ИВЕКОВОДА!!!????? смотреть онлайн
07:04

Долг платежом красен. День ИВЕКОВОДА!!!?????

Спешите ремонтироваться: время – деньги 18 просмотров
дефектация педального узла электровелосипеда iconBIT E-BIKE K205 смотреть онлайн
07:22

дефектация педального узла электровелосипеда iconBIT E-BIKE K205

Спешите ремонтироваться: время – деньги 108 просмотров
Неожиданная шнива смотреть онлайн
00:43

Неожиданная шнива

Спешите ремонтироваться: время – деньги 16 просмотров
Микрорайон Покровский. Красноярск. смотреть онлайн
01:01

Микрорайон Покровский. Красноярск.

Спешите ремонтироваться: время – деньги 16 просмотров
Сепаратор Centurion - оптимальный тип машины для любого вида очистки зерна смотреть онлайн
27:51

Сепаратор Centurion - оптимальный тип машины для любого вида очистки зерна

Спешите ремонтироваться: время – деньги 25 просмотров
Интервальная съёмка на iPhone - обрезка винограда смотреть онлайн
00:22

Интервальная съёмка на iPhone - обрезка винограда

Спешите ремонтироваться: время – деньги 25 просмотров
SAF смотреть онлайн
00:55

SAF

Спешите ремонтироваться: время – деньги 17 просмотров
Назад Вперед

За каждым успешным каналом стоит личность, идея и сотни часов кропотливого труда. Если вы здесь, значит, автор «Спешите ремонтироваться: время – деньги» уже сумел зацепить ваше внимание своим уникальным стилем или подачей. А мы на RUVIDEO позаботились о том, чтобы вы могли изучить весь архив его работ в максимально комфортных условиях — без лишней суеты и преград.

Почему за работами канала «Спешите ремонтироваться: время – деньги» так интересно наблюдать? Всё просто: это честный контент, который находит отклик в сердцах зрителей. На нашем ресурсе вы можете смотреть онлайн все видео любимого автора бесплатно и в хорошем качестве. Нам важно, чтобы вы видели каждую деталь и слышали каждый нюанс, поэтому мы используем только стабильные плееры из открытых источников Rutube.

Следите за новинками канала, пересматривайте старые шедевры и открывайте для себя новые грани творчества «Спешите ремонтироваться: время – деньги». Мы постоянно обновляем ленту, чтобы у вас под рукой всегда были самые свежие выпуски. Никаких сложных регистраций — только вы и творчество, которое вдохновляет. Приятного вам путешествия по миру авторского контента на RUVIDEO!

Видео взято из открытых источников Rutube. Если вы правообладатель, обратитесь к первоисточнику.