RUVIDEO

Автор: Радиаторные Горизонты Страница 6

XT41/95 9999-9999 100...240VAC ASCON TECNOLOGIC промышленный термоконтроллер смотреть онлайн
01:16

XT41/95 9999-9999 100...240VAC ASCON TECNOLOGIC промышленный термоконтроллер

Радиаторные Горизонты 19 просмотров
17. Баня в Ялуторовске 5*6 метра смотреть онлайн
08:33

17. Баня в Ялуторовске 5*6 метра

Радиаторные Горизонты 23 просмотров
Глаголы и местоимениям прямого и косвенного дополнения во французском языке. Урок грамматики №15 смотреть онлайн
01:05:11

Глаголы и местоимениям прямого и косвенного дополнения во французском языке. Урок грамматики №15

Радиаторные Горизонты 21 просмотров
Стальной бык ВТЗ смотреть онлайн
01:09

Стальной бык ВТЗ

Радиаторные Горизонты 44 просмотров
Разрывающий оковы! Часть 3. Чтение у камина. Нил Андерсон смотреть онлайн
02:25:14

Разрывающий оковы! Часть 3. Чтение у камина. Нил Андерсон

Радиаторные Горизонты 20 просмотров
Декоративный камень своими руками (заливка формы) смотреть онлайн
07:39

Декоративный камень своими руками (заливка формы)

Радиаторные Горизонты 18 просмотров
Процесс нанесения порошковой краски смотреть онлайн
00:47

Процесс нанесения порошковой краски

Радиаторные Горизонты 16 просмотров
UNOX OVEN, Change Capacitor смотреть онлайн
09:42

UNOX OVEN, Change Capacitor

Радиаторные Горизонты 16 просмотров
VIS A VIS | Сергей Тофилат смотреть онлайн
01:04:11

VIS A VIS | Сергей Тофилат

Радиаторные Горизонты 16 просмотров
В. Салда цех 32 смотреть онлайн
00:33

В. Салда цех 32

Радиаторные Горизонты 17 просмотров
Verleden tijd: Beneluxtrein vertrekt van Schiphol! смотреть онлайн
01:05

Verleden tijd: Beneluxtrein vertrekt van Schiphol!

Радиаторные Горизонты 16 просмотров
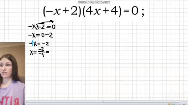
ОГЭ: ЗАДАНИЕ 9. Уравнения. #2 смотреть онлайн
04:17

ОГЭ: ЗАДАНИЕ 9. Уравнения. #2

Радиаторные Горизонты 16 просмотров
Heat Powered Stove Fan for wood and solid fuel burner stoves. смотреть онлайн
02:20

Heat Powered Stove Fan for wood and solid fuel burner stoves.

Радиаторные Горизонты 17 просмотров
Дом 60 м2 за 2 250 тыс. руб. Срочно смотреть онлайн
02:42

Дом 60 м2 за 2 250 тыс. руб. Срочно

Радиаторные Горизонты 17 просмотров
SEO для стартапа. Часть 4. Внешняя оптимизация. Анализ конкурентов и планирование ссылочного профил смотреть онлайн
01:19:19

SEO для стартапа. Часть 4. Внешняя оптимизация. Анализ конкурентов и планирование ссылочного профил

Радиаторные Горизонты 16 просмотров
23.03.21г. 00ч 27 мин - свч облучения из 16кв. облучение от мвд Чувашии превышение в 6 раз смотреть онлайн
01:49

23.03.21г. 00ч 27 мин - свч облучения из 16кв. облучение от мвд Чувашии превышение в 6 раз

Радиаторные Горизонты 18 просмотров
[QUICK GUIDE] Gorenje Kitchen machine MMC1000W смотреть онлайн
01:08

[QUICK GUIDE] Gorenje Kitchen machine MMC1000W

Радиаторные Горизонты 46 просмотров
Мой вечерний туалет+мейк дневной, если можно так его назвать ?? смотреть онлайн
19:55

Мой вечерний туалет+мейк дневной, если можно так его назвать ??

Радиаторные Горизонты 16 просмотров
ДП№9 АрселорМиттал Кривой Рог смотреть онлайн
00:18

ДП№9 АрселорМиттал Кривой Рог

Радиаторные Горизонты 16 просмотров
Кран мостовой без раскачивания груза для предприятия Arcelor смотреть онлайн
02:07

Кран мостовой без раскачивания груза для предприятия Arcelor

Радиаторные Горизонты 39 просмотров
Барбекю два казана и тандыр. смотреть онлайн
01:24

Барбекю два казана и тандыр.

Радиаторные Горизонты 17 просмотров
CУПЕРМОБИЛЬНЫЙ БЕТОННЫЙ ЗАВОД EUROMIX CROCUS 15/150 | Демонстрация работы и оборудования смотреть онлайн
06:11

CУПЕРМОБИЛЬНЫЙ БЕТОННЫЙ ЗАВОД EUROMIX CROCUS 15/150 | Демонстрация работы и оборудования

Радиаторные Горизонты 16 просмотров
ЭТА ИСТОРИЯ ПОТРЯСЛА ВСЮ ДЕРЕВНЮ|ГОНЧАЯ ПРИШЛА ЗА ПОМОЩЬЮ И НЕ ОДНА|Моя Люси|Особенный выпуск|Влог# смотреть онлайн
39:50

ЭТА ИСТОРИЯ ПОТРЯСЛА ВСЮ ДЕРЕВНЮ|ГОНЧАЯ ПРИШЛА ЗА ПОМОЩЬЮ И НЕ ОДНА|Моя Люси|Особенный выпуск|Влог#

Радиаторные Горизонты 17 просмотров
Фундамент из камня смотреть онлайн
13:37

Фундамент из камня

Радиаторные Горизонты 107 просмотров
Назад Вперед

За каждым успешным каналом стоит личность, идея и сотни часов кропотливого труда. Если вы здесь, значит, автор «Радиаторные Горизонты» уже сумел зацепить ваше внимание своим уникальным стилем или подачей. А мы на RUVIDEO позаботились о том, чтобы вы могли изучить весь архив его работ в максимально комфортных условиях — без лишней суеты и преград.

Почему за работами канала «Радиаторные Горизонты» так интересно наблюдать? Всё просто: это честный контент, который находит отклик в сердцах зрителей. На нашем ресурсе вы можете смотреть онлайн все видео любимого автора бесплатно и в хорошем качестве. Нам важно, чтобы вы видели каждую деталь и слышали каждый нюанс, поэтому мы используем только стабильные плееры из открытых источников Rutube.

Следите за новинками канала, пересматривайте старые шедевры и открывайте для себя новые грани творчества «Радиаторные Горизонты». Мы постоянно обновляем ленту, чтобы у вас под рукой всегда были самые свежие выпуски. Никаких сложных регистраций — только вы и творчество, которое вдохновляет. Приятного вам путешествия по миру авторского контента на RUVIDEO!

Видео взято из открытых источников Rutube. Если вы правообладатель, обратитесь к первоисточнику.