RUVIDEO

Автор / Канал: Молодежный Python-портал Страница 10

TaskQueue Chapter 4 Part 5 смотреть онлайн
09:49

TaskQueue Chapter 4 Part 5

Молодежный Python-портал 16 просмотров
Depth and Thermal Sensor Fusion to Enhance 3D Thermographic Reconstruction смотреть онлайн
01:34

Depth and Thermal Sensor Fusion to Enhance 3D Thermographic Reconstruction

Молодежный Python-портал 16 просмотров
O-Level M3 R5 | Python All Escape Sequences Full Explain | Lecture 20 смотреть онлайн
17:03

O-Level M3 R5 | Python All Escape Sequences Full Explain | Lecture 20

Молодежный Python-портал 16 просмотров
Conditional Statements in Python| Zero To Hero Course |Rock, Paper, Scissors Game | DAY 3 смотреть онлайн
48:50

Conditional Statements in Python| Zero To Hero Course |Rock, Paper, Scissors Game | DAY 3

Молодежный Python-портал 16 просмотров
Học lập trình web Python Django : Bài 16 - Upload Multi File Image Django смотреть онлайн
19:28

Học lập trình web Python Django : Bài 16 - Upload Multi File Image Django

Молодежный Python-портал 16 просмотров
Теория вероятности, Райгородский А.М., 24.09.20 смотреть онлайн
01:25:35

Теория вероятности, Райгородский А.М., 24.09.20

Молодежный Python-портал 45 просмотров
how to language change Vivo y66 v 1906 it helper p смотреть онлайн
01:22

how to language change Vivo y66 v 1906 it helper p

Молодежный Python-портал 23 просмотров
Python Tutorial - Mad Libs смотреть онлайн
11:31

Python Tutorial - Mad Libs

Молодежный Python-портал 16 просмотров
The Beast - Teaser | Blender Animation смотреть онлайн
00:24

The Beast - Teaser | Blender Animation

Молодежный Python-портал 16 просмотров
Ant Design UI Python - Route Parameters смотреть онлайн
04:51

Ant Design UI Python - Route Parameters

Молодежный Python-портал 16 просмотров
Discord Tutorials: How To Code Your Own Embed With Button For Your Discord Bot | Discord Tutorials смотреть онлайн
19:00

Discord Tutorials: How To Code Your Own Embed With Button For Your Discord Bot | Discord Tutorials

Молодежный Python-портал 16 просмотров
23 Coding Task #1A Instantiate AWS SageMaker Notebook Instance Method #1 смотреть онлайн
12:40

23 Coding Task #1A Instantiate AWS SageMaker Notebook Instance Method #1

Молодежный Python-портал 16 просмотров
Dynasty Meaning in Telugu (తెలుగు), Dynasty in Sentences смотреть онлайн
01:13

Dynasty Meaning in Telugu (తెలుగు), Dynasty in Sentences

Молодежный Python-портал 16 просмотров
Class - 2[Numbers & String], Week - 1 || Python Private Tutor - Mursalin Abedin смотреть онлайн
01:53:48

Class - 2[Numbers & String], Week - 1 || Python Private Tutor - Mursalin Abedin

Молодежный Python-портал 17 просмотров
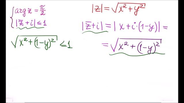
Область на комплексной плоскости arg z = pi/2 смотреть онлайн
12:26

Область на комплексной плоскости arg z = pi/2

Молодежный Python-портал 141 просмотров
Python tutorials | Revit | Begginers | Dictionary смотреть онлайн
19:04

Python tutorials | Revit | Begginers | Dictionary

Молодежный Python-портал 16 просмотров
Beginners Tutorial To Install Jupyter Notebook on Windows 10 смотреть онлайн
08:14

Beginners Tutorial To Install Jupyter Notebook on Windows 10

Молодежный Python-портал 16 просмотров
Learn List Comprehension in Less than 8 Minutes | Python Tutorial смотреть онлайн
08:02

Learn List Comprehension in Less than 8 Minutes | Python Tutorial

Молодежный Python-портал 16 просмотров
Solución (FIX): git: The term 'git' is not recognized as a name of a cmdlet, function, script file. смотреть онлайн
06:58

Solución (FIX): git: The term 'git' is not recognized as a name of a cmdlet, function, script file.

Молодежный Python-портал 108 просмотров
Line Charts Tutorial | Data Visualization with Python | #pythontutorial #datavisualization смотреть онлайн
20:23

Line Charts Tutorial | Data Visualization with Python | #pythontutorial #datavisualization

Молодежный Python-портал 17 просмотров
not, and, or (Logical)operators :Python tutorial 27 смотреть онлайн
24:41

not, and, or (Logical)operators :Python tutorial 27

Молодежный Python-портал 16 просмотров
Recommendation System 2 смотреть онлайн
01:39

Recommendation System 2

Молодежный Python-портал 16 просмотров
Build a Starbucks Locator Django Python Project with Mapbox Integration смотреть онлайн
01:05:01

Build a Starbucks Locator Django Python Project with Mapbox Integration

Молодежный Python-портал 16 просмотров
How To Clean All Cache in Windows 11 | Remove junk files windows 11 | Delete junk file in windows 1 смотреть онлайн
19:12

How To Clean All Cache in Windows 11 | Remove junk files windows 11 | Delete junk file in windows 1

Молодежный Python-портал 17 просмотров
Назад Вперед

За каждым успешным каналом стоит личность, идея и сотни часов кропотливого труда. Если вы здесь, значит, автор «Молодежный Python-портал» уже сумел зацепить ваше внимание своим уникальным стилем или подачей. А мы на RUVIDEO позаботились о том, чтобы вы могли изучить весь архив его работ в максимально комфортных условиях — без лишней суеты и преград.

Почему за работами канала «Молодежный Python-портал» так интересно наблюдать? Всё просто: это честный контент, который находит отклик в сердцах зрителей. На нашем ресурсе вы можете смотреть онлайн все видео любимого автора бесплатно и в хорошем качестве. Нам важно, чтобы вы видели каждую деталь и слышали каждый нюанс, поэтому мы используем только стабильные плееры из открытых источников Rutube.

Следите за новинками канала, пересматривайте старые шедевры и открывайте для себя новые грани творчества «Молодежный Python-портал». Мы постоянно обновляем ленту, чтобы у вас под рукой всегда были самые свежие выпуски. Никаких сложных регистраций — только вы и творчество, которое вдохновляет. Приятного вам путешествия по миру авторского контента на RUVIDEO!

Видео взято из открытых источников Rutube. Если вы правообладатель, обратитесь к первоисточнику.