RUVIDEO

Автор / Канал: Python гении Страница 9

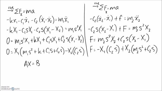
Spring-Mass-Damper System, 2DOF смотреть онлайн
20:19

Spring-Mass-Damper System, 2DOF

Python гении 16 просмотров
Python for Beginners in Urdu | Hindi | Tutorial 36 | Statements | If,Elif,Else | Part 2 смотреть онлайн
08:41

Python for Beginners in Urdu | Hindi | Tutorial 36 | Statements | If,Elif,Else | Part 2

Python гении 16 просмотров
Теория групп 9 - Комплексные числа и группа U(1) смотреть онлайн
06:34

Теория групп 9 - Комплексные числа и группа U(1)

Python гении 19 просмотров
IaC: Provisioning AWS Lambda Function URL with Pulumi смотреть онлайн
07:40

IaC: Provisioning AWS Lambda Function URL with Pulumi

Python гении 16 просмотров
SHINCHAN design in Python IDLE Shell смотреть онлайн
19:26

SHINCHAN design in Python IDLE Shell

Python гении 16 просмотров
How to create a simple calculator in python смотреть онлайн
03:55

How to create a simple calculator in python

Python гении 16 просмотров
Make Custom macOS Icon | Mac OS X ICNS Tutorial смотреть онлайн
02:24

Make Custom macOS Icon | Mac OS X ICNS Tutorial

Python гении 19 просмотров
CIT1203#3174 J - Port scanner, file output and input (04/09/19) смотреть онлайн
48:47

CIT1203#3174 J - Port scanner, file output and input (04/09/19)

Python гении 16 просмотров
Qpython - Opening the linux shell and accessing all Qpython installed packages смотреть онлайн
03:39

Qpython - Opening the linux shell and accessing all Qpython installed packages

Python гении 17 просмотров
Dynamo Python Script смотреть онлайн
02:53

Dynamo Python Script

Python гении 18 просмотров
Dart Bangla Tutorial ! Part 31 Dart Function Return смотреть онлайн
06:28

Dart Bangla Tutorial ! Part 31 Dart Function Return

Python гении 16 просмотров
Learn java in tamil | java programming ep - 4 | static , final , method overloading , | tamil hacks смотреть онлайн
40:22

Learn java in tamil | java programming ep - 4 | static , final , method overloading , | tamil hacks

Python гении 17 просмотров
Настройка LCD дисплея WaveShare 3.5inch на raspberri py 2 смотреть онлайн
11:40

Настройка LCD дисплея WaveShare 3.5inch на raspberri py 2

Python гении 39 просмотров
GIS: Rasterio read function producing uniform array or near-zero values for a non-uniform raster смотреть онлайн
02:17

GIS: Rasterio read function producing uniform array or near-zero values for a non-uniform raster

Python гении 16 просмотров
Project Python - random reply tcl and sqlite3 смотреть онлайн
09:38

Project Python - random reply tcl and sqlite3

Python гении 16 просмотров
Introduction to Strings смотреть онлайн
09:54

Introduction to Strings

Python гении 16 просмотров
034- (SETUP) Microsoft Visual Studio, Nvidia CUDA, OpenCL C++ Headers смотреть онлайн
11:17

034- (SETUP) Microsoft Visual Studio, Nvidia CUDA, OpenCL C++ Headers

Python гении 33 просмотров
RP Learn Text Classification with Python and Keras (Advanced) смотреть онлайн
32:59

RP Learn Text Classification with Python and Keras (Advanced)

Python гении 19 просмотров
Crosman SNR357 CO2 Full Metal Revolver смотреть онлайн
00:16

Crosman SNR357 CO2 Full Metal Revolver

Python гении 19 просмотров
Hello World in Shell Script or Unix | Hello World смотреть онлайн
05:30

Hello World in Shell Script or Unix | Hello World

Python гении 24 просмотров
Summenzeichen: Indexverschiebung richtig anwenden | Basics смотреть онлайн
06:32

Summenzeichen: Indexverschiebung richtig anwenden | Basics

Python гении 16 просмотров
Reindexing Series Tutorial смотреть онлайн
04:00

Reindexing Series Tutorial

Python гении 16 просмотров
Cómo consumir una API mediante la función callback смотреть онлайн
15:49

Cómo consumir una API mediante la función callback

Python гении 16 просмотров
Plant3D SolidCableTray смотреть онлайн
06:52

Plant3D SolidCableTray

Python гении 16 просмотров
Назад Вперед

За каждым успешным каналом стоит личность, идея и сотни часов кропотливого труда. Если вы здесь, значит, автор «Python гении» уже сумел зацепить ваше внимание своим уникальным стилем или подачей. А мы на RUVIDEO позаботились о том, чтобы вы могли изучить весь архив его работ в максимально комфортных условиях — без лишней суеты и преград.

Почему за работами канала «Python гении» так интересно наблюдать? Всё просто: это честный контент, который находит отклик в сердцах зрителей. На нашем ресурсе вы можете смотреть онлайн все видео любимого автора бесплатно и в хорошем качестве. Нам важно, чтобы вы видели каждую деталь и слышали каждый нюанс, поэтому мы используем только стабильные плееры из открытых источников Rutube.

Следите за новинками канала, пересматривайте старые шедевры и открывайте для себя новые грани творчества «Python гении». Мы постоянно обновляем ленту, чтобы у вас под рукой всегда были самые свежие выпуски. Никаких сложных регистраций — только вы и творчество, которое вдохновляет. Приятного вам путешествия по миру авторского контента на RUVIDEO!

Видео взято из открытых источников Rutube. Если вы правообладатель, обратитесь к первоисточнику.