RUVIDEO

Автор / Канал: Python умы Страница 12

Machine Learning | Malayalam | Linear Regression Part-1 смотреть онлайн
11:58

Machine Learning | Malayalam | Linear Regression Part-1

Python умы 16 просмотров
FBX Files Not Importing Into Blender? Here's the Easy Fix смотреть онлайн
05:40

FBX Files Not Importing Into Blender? Here's the Easy Fix

Python умы 131 просмотров
Python program for benninger step by step | Mind reading python project смотреть онлайн
07:46

Python program for benninger step by step | Mind reading python project

Python умы 19 просмотров
00-Get validated input from console apps in Python, Lua and C# - Python - part 1 смотреть онлайн
27:40

00-Get validated input from console apps in Python, Lua and C# - Python - part 1

Python умы 16 просмотров
Калькулятор заработка на Python смотреть онлайн
00:14

Калькулятор заработка на Python

Python умы 29 просмотров
Bad Apple but it's 48x48 Sliding puzzle scrambles (Flash Warning) смотреть онлайн
03:39

Bad Apple but it's 48x48 Sliding puzzle scrambles (Flash Warning)

Python умы 18 просмотров
Введение в программирование на Python. Занятие №27 смотреть онлайн
59:06

Введение в программирование на Python. Занятие №27

Python умы 17 просмотров
аудио спектр avee player смотреть онлайн
02:02

аудио спектр avee player

Python умы 16 просмотров
criando menu interativo em Python смотреть онлайн
36:41

criando menu interativo em Python

Python умы 16 просмотров
INTERNSHALA Programming With Python Module 3 смотреть онлайн
01:20

INTERNSHALA Programming With Python Module 3

Python умы 16 просмотров
Payitaht Sultan Abdulhamid | Season 1 | Episode 108 смотреть онлайн
47:37

Payitaht Sultan Abdulhamid | Season 1 | Episode 108

Python умы 18 просмотров
5. len(), count() & index() functions in List | Python Lectures | смотреть онлайн
06:36

5. len(), count() & index() functions in List | Python Lectures |

Python умы 16 просмотров
איך להכין בוחן למודל שמירת הקובץ смотреть онлайн
01:20

איך להכין בוחן למודל שמירת הקובץ

Python умы 16 просмотров
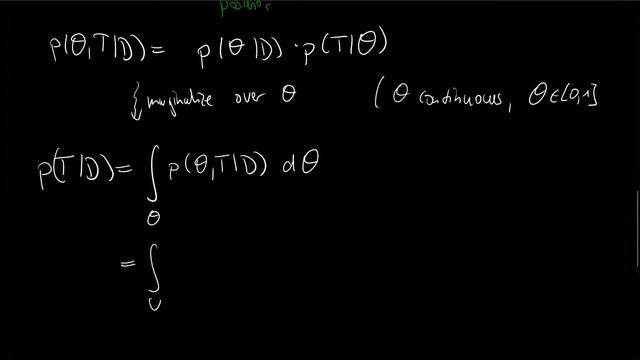
Predictive Posterior for the Bernoulli | Simple Derivation смотреть онлайн
11:08

Predictive Posterior for the Bernoulli | Simple Derivation

Python умы 16 просмотров
Random Search video смотреть онлайн
00:36

Random Search video

Python умы 16 просмотров
GIS: Python in ModelBuilder calculate field tool смотреть онлайн
01:41

GIS: Python in ModelBuilder calculate field tool

Python умы 16 просмотров
Python 3 Complete Training | From Zero To Hero In Python | Learning with Jarvis смотреть онлайн
11:11:20

Python 3 Complete Training | From Zero To Hero In Python | Learning with Jarvis

Python умы 16 просмотров
Testing the Normality of Residuals in a Regression using SPSS смотреть онлайн
10:16

Testing the Normality of Residuals in a Regression using SPSS

Python умы 16 просмотров
How to Fix PyAudio Error in Python|During Coding in PyCharm|Made by Adib|#python3.9|AAA Vlogs смотреть онлайн
03:40

How to Fix PyAudio Error in Python|During Coding in PyCharm|Made by Adib|#python3.9|AAA Vlogs

Python умы 16 просмотров
Playing with Inventor 2023 GPU RAY TRACING on Live Stream! смотреть онлайн
01:50:50

Playing with Inventor 2023 GPU RAY TRACING on Live Stream!

Python умы 18 просмотров
Episode 18 : Apache Configuration Code Path смотреть онлайн
30:14

Episode 18 : Apache Configuration Code Path

Python умы 16 просмотров
How to Add/Update Listing Photos using Flat Files and Image URL's in 2021 смотреть онлайн
07:01

How to Add/Update Listing Photos using Flat Files and Image URL's in 2021

Python умы 17 просмотров
Coursera: Introduction to deep learning all week assignment solution | Advance machine learning 202 смотреть онлайн
42:40

Coursera: Introduction to deep learning all week assignment solution | Advance machine learning 202

Python умы 16 просмотров
How To Install Python 2.7.14 .msi file install... смотреть онлайн
03:16

How To Install Python 2.7.14 .msi file install...

Python умы 16 просмотров
Назад Вперед

За каждым успешным каналом стоит личность, идея и сотни часов кропотливого труда. Если вы здесь, значит, автор «Python умы» уже сумел зацепить ваше внимание своим уникальным стилем или подачей. А мы на RUVIDEO позаботились о том, чтобы вы могли изучить весь архив его работ в максимально комфортных условиях — без лишней суеты и преград.

Почему за работами канала «Python умы» так интересно наблюдать? Всё просто: это честный контент, который находит отклик в сердцах зрителей. На нашем ресурсе вы можете смотреть онлайн все видео любимого автора бесплатно и в хорошем качестве. Нам важно, чтобы вы видели каждую деталь и слышали каждый нюанс, поэтому мы используем только стабильные плееры из открытых источников Rutube.

Следите за новинками канала, пересматривайте старые шедевры и открывайте для себя новые грани творчества «Python умы». Мы постоянно обновляем ленту, чтобы у вас под рукой всегда были самые свежие выпуски. Никаких сложных регистраций — только вы и творчество, которое вдохновляет. Приятного вам путешествия по миру авторского контента на RUVIDEO!

Видео взято из открытых источников Rutube. Если вы правообладатель, обратитесь к первоисточнику.