RUVIDEO

Автор / Канал: Python глазами эксперта Страница 9

2068. Check Whether Two Strings are Almost Equivalent - leetcode - Python смотреть онлайн
10:55

2068. Check Whether Two Strings are Almost Equivalent - leetcode - Python

Python глазами эксперта 16 просмотров
C++ : PCL: Visualize a point cloud смотреть онлайн
01:35

C++ : PCL: Visualize a point cloud

Python глазами эксперта 17 просмотров
Wallaroo SDK Install in Google Vertex смотреть онлайн
05:05

Wallaroo SDK Install in Google Vertex

Python глазами эксперта 16 просмотров
split a generator iterable every n items in python splitEvery смотреть онлайн
04:08

split a generator iterable every n items in python splitEvery

Python глазами эксперта 19 просмотров
БОТ ПО НАКРУТКЕ КРЕДИТОВ И РЕЙТИНГА. Дурак Онлайн [04.06.2022 РАБОТАЕТ] смотреть онлайн
04:26

БОТ ПО НАКРУТКЕ КРЕДИТОВ И РЕЙТИНГА. Дурак Онлайн [04.06.2022 РАБОТАЕТ]

Python глазами эксперта 296 просмотров
Exercice Python concaténation de dictionnaires Python смотреть онлайн
04:40

Exercice Python concaténation de dictionnaires Python

Python глазами эксперта 18 просмотров
Beginners Java 2018 -- Lesson 7 -- Nested if statements смотреть онлайн
09:57

Beginners Java 2018 -- Lesson 7 -- Nested if statements

Python глазами эксперта 17 просмотров
[Pod i - 93e] - Sorting Algorithms - Excercise - Bubble Sort - Time Complexity смотреть онлайн
12:23

[Pod i - 93e] - Sorting Algorithms - Excercise - Bubble Sort - Time Complexity

Python глазами эксперта 17 просмотров
70.API system смотреть онлайн
11:59

70.API system

Python глазами эксперта 18 просмотров
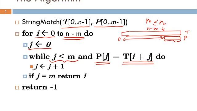
Brute Force String Matching смотреть онлайн
18:48

Brute Force String Matching

Python глазами эксперта 16 просмотров
Programming 2 with C++ - Stream Input & Output - Part 1 смотреть онлайн
09:59

Programming 2 with C++ - Stream Input & Output - Part 1

Python глазами эксперта 17 просмотров
Environment Variables ( add; change; remove ) | VBScript Examples смотреть онлайн
07:56

Environment Variables ( add; change; remove ) | VBScript Examples

Python глазами эксперта 16 просмотров
Tutorial 6-Chain Rule of Differentiation with BackPropagation смотреть онлайн
13:42

Tutorial 6-Chain Rule of Differentiation with BackPropagation

Python глазами эксперта 15 просмотров
Vim: Tutorial on Editing, Navigation, and File Management (2018) смотреть онлайн
57:28

Vim: Tutorial on Editing, Navigation, and File Management (2018)

Python глазами эксперта 16 просмотров
Bessere Discord Bots programmieren (mit Interactions über HTTP) смотреть онлайн
07:32

Bessere Discord Bots programmieren (mit Interactions über HTTP)

Python глазами эксперта 16 просмотров
"Hello it's Me" chord flow backbeat смотреть онлайн
07:44

"Hello it's Me" chord flow backbeat

Python глазами эксперта 16 просмотров
[NEW] Hikvision Camera Featuring AI People Counting: DS-2CD6825G0 /C-IVS смотреть онлайн
18:03

[NEW] Hikvision Camera Featuring AI People Counting: DS-2CD6825G0 /C-IVS

Python глазами эксперта 26 просмотров
CS110: Simple If statement and If Else statement بالعربي смотреть онлайн
42:43

CS110: Simple If statement and If Else statement بالعربي

Python глазами эксперта 16 просмотров
Python Interview Questions #13 - What are negative indexes in Python? смотреть онлайн
01:20

Python Interview Questions #13 - What are negative indexes in Python?

Python глазами эксперта 17 просмотров
Guinea pig eaten смотреть онлайн
09:52

Guinea pig eaten

Python глазами эксперта 81 просмотров
Python (part 8): List Iteration смотреть онлайн
07:31

Python (part 8): List Iteration

Python глазами эксперта 16 просмотров
Compiling Boost with microsoft visual studio 2015 смотреть онлайн
01:44

Compiling Boost with microsoft visual studio 2015

Python глазами эксперта 17 просмотров
D 09 - تطبيق علي التصنيف باستخدام بايثون Classification Example смотреть онлайн
41:12

D 09 - تطبيق علي التصنيف باستخدام بايثون Classification Example

Python глазами эксперта 17 просмотров
How to Use 7-Zip смотреть онлайн
02:06

How to Use 7-Zip

Python глазами эксперта 16 просмотров
Назад Вперед

За каждым успешным каналом стоит личность, идея и сотни часов кропотливого труда. Если вы здесь, значит, автор «Python глазами эксперта» уже сумел зацепить ваше внимание своим уникальным стилем или подачей. А мы на RUVIDEO позаботились о том, чтобы вы могли изучить весь архив его работ в максимально комфортных условиях — без лишней суеты и преград.

Почему за работами канала «Python глазами эксперта» так интересно наблюдать? Всё просто: это честный контент, который находит отклик в сердцах зрителей. На нашем ресурсе вы можете смотреть онлайн все видео любимого автора бесплатно и в хорошем качестве. Нам важно, чтобы вы видели каждую деталь и слышали каждый нюанс, поэтому мы используем только стабильные плееры из открытых источников Rutube.

Следите за новинками канала, пересматривайте старые шедевры и открывайте для себя новые грани творчества «Python глазами эксперта». Мы постоянно обновляем ленту, чтобы у вас под рукой всегда были самые свежие выпуски. Никаких сложных регистраций — только вы и творчество, которое вдохновляет. Приятного вам путешествия по миру авторского контента на RUVIDEO!

Видео взято из открытых источников Rutube. Если вы правообладатель, обратитесь к первоисточнику.