RUVIDEO

Автор / Канал: КодоРитуал Страница 5

How to Merge PDF Files смотреть онлайн
01:10

How to Merge PDF Files

КодоРитуал 16 просмотров
Tutorial : 29 - Active Queue Management Techniques in NS-2 смотреть онлайн
08:04

Tutorial : 29 - Active Queue Management Techniques in NS-2

КодоРитуал 16 просмотров
Creating Layer Files with Python смотреть онлайн
02:33

Creating Layer Files with Python

КодоРитуал 16 просмотров
Ingesting larger data in Julia: evolution of JSON | Jacob Quinn | JuliaCon 2023 смотреть онлайн
25:27

Ingesting larger data in Julia: evolution of JSON | Jacob Quinn | JuliaCon 2023

КодоРитуал 17 просмотров
MGF PDF of Laplace Distribution смотреть онлайн
13:35

MGF PDF of Laplace Distribution

КодоРитуал 16 просмотров
Setting up communication from forward proxy to reverse proxy using tinyproxy смотреть онлайн
03:01

Setting up communication from forward proxy to reverse proxy using tinyproxy

КодоРитуал 18 просмотров
Check the entered alphabet is a vowel or not in Python смотреть онлайн
05:31

Check the entered alphabet is a vowel or not in Python

КодоРитуал 16 просмотров
Using Decorators in Your Views – Chuck Lauer Vose смотреть онлайн
10:44

Using Decorators in Your Views – Chuck Lauer Vose

КодоРитуал 16 просмотров
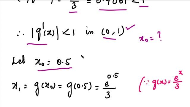
Fixed point iteration method| Solve, e^x – 3x = 0 by the method of fixed point iteration | Tamil смотреть онлайн
10:14

Fixed point iteration method| Solve, e^x – 3x = 0 by the method of fixed point iteration | Tamil

КодоРитуал 17 просмотров
Ошибка 0x0000007B. Не загружается Windows.Как исправить? смотреть онлайн
03:20

Ошибка 0x0000007B. Не загружается Windows.Как исправить?

КодоРитуал 243 просмотров
? Live Coding - Food Nutrient Dataset Creation with Python смотреть онлайн
02:31:02

? Live Coding - Food Nutrient Dataset Creation with Python

КодоРитуал 16 просмотров
SNAKE GAME SEDERHANA PYTHON TKINTER ZORIN OS LINUX смотреть онлайн
00:21

SNAKE GAME SEDERHANA PYTHON TKINTER ZORIN OS LINUX

КодоРитуал 16 просмотров
Bitwise operators java смотреть онлайн
12:32

Bitwise operators java

КодоРитуал 16 просмотров
СКИППИ озвучивает ЯНДЕКС СТАНЦИЮ смотреть онлайн
01:02

СКИППИ озвучивает ЯНДЕКС СТАНЦИЮ

КодоРитуал 19 просмотров
Array | Data Structure | FYBSc CS - Sem 2 | SST College смотреть онлайн
15:54

Array | Data Structure | FYBSc CS - Sem 2 | SST College

КодоРитуал 16 просмотров
33 Logical Operations | Introduction to Python | Sololearn смотреть онлайн
02:40

33 Logical Operations | Introduction to Python | Sololearn

КодоРитуал 16 просмотров
Merge sort in 3 minutes! смотреть онлайн
03:53

Merge sort in 3 minutes!

КодоРитуал 16 просмотров
How A Tiny Indian Navy Missile Boat Sank Pakistan's Karachi Port During 1971 Indo Pak War смотреть онлайн
14:45

How A Tiny Indian Navy Missile Boat Sank Pakistan's Karachi Port During 1971 Indo Pak War

КодоРитуал 17 просмотров
Draw a simple hut,circle,rectangle,ellipse and half ellipse✌ | CG |Computer Graphics and Animation? смотреть онлайн
05:39

Draw a simple hut,circle,rectangle,ellipse and half ellipse✌ | CG |Computer Graphics and Animation?

КодоРитуал 17 просмотров
How to create Telegram Mirror-Leech Bot on VPS смотреть онлайн
45:31

How to create Telegram Mirror-Leech Bot on VPS

КодоРитуал 20 просмотров
Como criar um Quiz em Python | Jogo de perguntas e respostas em Python Parte #04 смотреть онлайн
09:37

Como criar um Quiz em Python | Jogo de perguntas e respostas em Python Parte #04

КодоРитуал 16 просмотров
[Daz Studio] [Adobe Photoshop] Creating a video from your image series смотреть онлайн
03:26

[Daz Studio] [Adobe Photoshop] Creating a video from your image series

КодоРитуал 21 просмотров
JS FizzBuzz смотреть онлайн
00:30

JS FizzBuzz

КодоРитуал 16 просмотров
YOLO v8 Detecção e Segmentação de Imagens смотреть онлайн
09:13

YOLO v8 Detecção e Segmentação de Imagens

КодоРитуал 16 просмотров
Назад Вперед

За каждым успешным каналом стоит личность, идея и сотни часов кропотливого труда. Если вы здесь, значит, автор «КодоРитуал» уже сумел зацепить ваше внимание своим уникальным стилем или подачей. А мы на RUVIDEO позаботились о том, чтобы вы могли изучить весь архив его работ в максимально комфортных условиях — без лишней суеты и преград.

Почему за работами канала «КодоРитуал» так интересно наблюдать? Всё просто: это честный контент, который находит отклик в сердцах зрителей. На нашем ресурсе вы можете смотреть онлайн все видео любимого автора бесплатно и в хорошем качестве. Нам важно, чтобы вы видели каждую деталь и слышали каждый нюанс, поэтому мы используем только стабильные плееры из открытых источников Rutube.

Следите за новинками канала, пересматривайте старые шедевры и открывайте для себя новые грани творчества «КодоРитуал». Мы постоянно обновляем ленту, чтобы у вас под рукой всегда были самые свежие выпуски. Никаких сложных регистраций — только вы и творчество, которое вдохновляет. Приятного вам путешествия по миру авторского контента на RUVIDEO!

Видео взято из открытых источников Rutube. Если вы правообладатель, обратитесь к первоисточнику.