RUVIDEO

Автор / Канал: Python: эволюция в действии Страница 13

Parallel table ingestion with a Spark Notebook (PySpark + Threading) смотреть онлайн
12:33

Parallel table ingestion with a Spark Notebook (PySpark + Threading)

Python: эволюция в действии 18 просмотров
Program to print and count numbers not divisible by 3 and 5 with C# using Constructor смотреть онлайн
03:02

Program to print and count numbers not divisible by 3 and 5 with C# using Constructor

Python: эволюция в действии 16 просмотров
How to program a game in C++: #3 - Input, Movement and Time смотреть онлайн
12:40

How to program a game in C++: #3 - Input, Movement and Time

Python: эволюция в действии 18 просмотров
????????? ??? ?.? - Volume Price Analysis AFL смотреть онлайн
01:26

????????? ??? ?.? - Volume Price Analysis AFL

Python: эволюция в действии 17 просмотров
Python Pattern course 3 смотреть онлайн
37:29

Python Pattern course 3

Python: эволюция в действии 16 просмотров
Кластеризация методом DBSCAN. Вопросы на понимание. смотреть онлайн
33:32

Кластеризация методом DBSCAN. Вопросы на понимание.

Python: эволюция в действии 50 просмотров
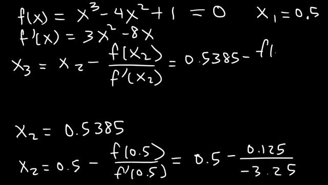
Newton's Method смотреть онлайн
10:41

Newton's Method

Python: эволюция в действии 20 просмотров
МО, 16.12, Оптимальное управление 2 смотреть онлайн
29:05

МО, 16.12, Оптимальное управление 2

Python: эволюция в действии 16 просмотров
Программирование на Python «для тупых» 009.1 оператор else: «иначе» смотреть онлайн
22:26

Программирование на Python «для тупых» 009.1 оператор else: «иначе»

Python: эволюция в действии 16 просмотров
Code Review: Bit shifting in Python (4 Solutions!!) смотреть онлайн
04:34

Code Review: Bit shifting in Python (4 Solutions!!)

Python: эволюция в действии 16 просмотров
AP Instalacion PIL смотреть онлайн
01:20

AP Instalacion PIL

Python: эволюция в действии 16 просмотров
VBA Macro to Delete Rows when conditions are Met смотреть онлайн
05:25

VBA Macro to Delete Rows when conditions are Met

Python: эволюция в действии 16 просмотров
python string 9 functions 2 2022 02 18 смотреть онлайн
18:25

python string 9 functions 2 2022 02 18

Python: эволюция в действии 16 просмотров
vscode结合miniconda来编写python,和pycharm的区别 смотреть онлайн
09:39

vscode结合miniconda来编写python,和pycharm的区别

Python: эволюция в действии 16 просмотров
How to auto pause and resume the OBS recording with Python смотреть онлайн
10:43

How to auto pause and resume the OBS recording with Python

Python: эволюция в действии 16 просмотров
파이썬 Cos pro2급 샘플문제 5차 10번 문제풀이 смотреть онлайн
08:13

파이썬 Cos pro2급 샘플문제 5차 10번 문제풀이

Python: эволюция в действии 16 просмотров
Python для ЕГЭ, все что нужно знать:) Урок 4: Данные с клавиатуры смотреть онлайн
09:15

Python для ЕГЭ, все что нужно знать:) Урок 4: Данные с клавиатуры

Python: эволюция в действии 28 просмотров
Matching methods for causal inference with time-series cross-sectional data смотреть онлайн
01:24:19

Matching methods for causal inference with time-series cross-sectional data

Python: эволюция в действии 16 просмотров
While Loops Break Continue AND PASS in Python What are they and How they Works ? Step by Step Guide смотреть онлайн
14:21

While Loops Break Continue AND PASS in Python What are they and How they Works ? Step by Step Guide

Python: эволюция в действии 16 просмотров
Close look into Open Source | FOSS & GSoC смотреть онлайн
01:16:36

Close look into Open Source | FOSS & GSoC

Python: эволюция в действии 16 просмотров
Python Libraries used for Artificial Intelligence| Visaithalam | Computer Geeks#3 смотреть онлайн
00:23

Python Libraries used for Artificial Intelligence| Visaithalam | Computer Geeks#3

Python: эволюция в действии 16 просмотров
Binary Exponentiation - Number Theory Advanced | C++ Placement Course | Lecture 37.4 смотреть онлайн
08:57

Binary Exponentiation - Number Theory Advanced | C++ Placement Course | Lecture 37.4

Python: эволюция в действии 16 просмотров
2018 STAT115 Lect 2.2. MA Plot смотреть онлайн
07:19

2018 STAT115 Lect 2.2. MA Plot

Python: эволюция в действии 16 просмотров
09. Интернационализация и локализация смотреть онлайн
01:27:53

09. Интернационализация и локализация

Python: эволюция в действии 17 просмотров
Назад Вперед

За каждым успешным каналом стоит личность, идея и сотни часов кропотливого труда. Если вы здесь, значит, автор «Python: эволюция в действии» уже сумел зацепить ваше внимание своим уникальным стилем или подачей. А мы на RUVIDEO позаботились о том, чтобы вы могли изучить весь архив его работ в максимально комфортных условиях — без лишней суеты и преград.

Почему за работами канала «Python: эволюция в действии» так интересно наблюдать? Всё просто: это честный контент, который находит отклик в сердцах зрителей. На нашем ресурсе вы можете смотреть онлайн все видео любимого автора бесплатно и в хорошем качестве. Нам важно, чтобы вы видели каждую деталь и слышали каждый нюанс, поэтому мы используем только стабильные плееры из открытых источников Rutube.

Следите за новинками канала, пересматривайте старые шедевры и открывайте для себя новые грани творчества «Python: эволюция в действии». Мы постоянно обновляем ленту, чтобы у вас под рукой всегда были самые свежие выпуски. Никаких сложных регистраций — только вы и творчество, которое вдохновляет. Приятного вам путешествия по миру авторского контента на RUVIDEO!

Видео взято из открытых источников Rutube. Если вы правообладатель, обратитесь к первоисточнику.