RUVIDEO

Автор / Канал: Python алгоритмические задачи Страница 6

Tcl/Tk Object Oriented Programming Using Itcl (incr Tcl) Lesson 2 (English Version) смотреть онлайн
08:40

Tcl/Tk Object Oriented Programming Using Itcl (incr Tcl) Lesson 2 (English Version)

Python алгоритмические задачи 17 просмотров
3 Ways to Convert DOCX to PDF and Apply Password (Optional) LEARN IN 5 MINS WITH TECHNOTUBER SATVIK смотреть онлайн
05:19

3 Ways to Convert DOCX to PDF and Apply Password (Optional) LEARN IN 5 MINS WITH TECHNOTUBER SATVIK

Python алгоритмические задачи 17 просмотров
Securing the Django Admin (Repeat) - David Fischer смотреть онлайн
22:23

Securing the Django Admin (Repeat) - David Fischer

Python алгоритмические задачи 16 просмотров
bash: pushd / popd (beginner - intermediate) anthony explains #185 смотреть онлайн
03:36

bash: pushd / popd (beginner - intermediate) anthony explains #185

Python алгоритмические задачи 16 просмотров
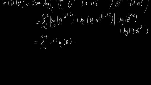
Maximum A Posteriori Estimate (MAP) for Bernoulli | Derivation & TensorFlow Probability смотреть онлайн
29:03

Maximum A Posteriori Estimate (MAP) for Bernoulli | Derivation & TensorFlow Probability

Python алгоритмические задачи 18 просмотров
Get Started with Juniper Automation: Module 4 - XML and NETCONF смотреть онлайн
24:11

Get Started with Juniper Automation: Module 4 - XML and NETCONF

Python алгоритмические задачи 16 просмотров
[Game Development][Ren'Py] Programming concepts: Game Objects смотреть онлайн
06:19

[Game Development][Ren'Py] Programming concepts: Game Objects

Python алгоритмические задачи 16 просмотров
PARTICLE SWARM OPTIMIZATION (PSO) MATLAB CODE EXPLANATION смотреть онлайн
25:49

PARTICLE SWARM OPTIMIZATION (PSO) MATLAB CODE EXPLANATION

Python алгоритмические задачи 26 просмотров
#2 - OpenCV - Working With Images - Part 1 - OpenCV Series смотреть онлайн
07:04

#2 - OpenCV - Working With Images - Part 1 - OpenCV Series

Python алгоритмические задачи 16 просмотров
Python CIS-2266 Statical Significance смотреть онлайн
11:04

Python CIS-2266 Statical Significance

Python алгоритмические задачи 16 просмотров
Is chatgpt down? too many requests in 1 hour. try again later смотреть онлайн
00:44

Is chatgpt down? too many requests in 1 hour. try again later

Python алгоритмические задачи 17 просмотров
Django : Enumerating model choices in a Django Rest Framework serializer смотреть онлайн
01:27

Django : Enumerating model choices in a Django Rest Framework serializer

Python алгоритмические задачи 17 просмотров
Sum of Two Numbers | Addition of 2 Numbers #youtube #coding #pythonprogramming #viral смотреть онлайн
03:14

Sum of Two Numbers | Addition of 2 Numbers #youtube #coding #pythonprogramming #viral

Python алгоритмические задачи 16 просмотров
HOW TO DETECT OUTLIERS AND INTERPRET THE RESULTS on SAS STUDIO using SAS ON DEMAND FOR ACADEMICS смотреть онлайн
03:12

HOW TO DETECT OUTLIERS AND INTERPRET THE RESULTS on SAS STUDIO using SAS ON DEMAND FOR ACADEMICS

Python алгоритмические задачи 17 просмотров
Flask Login - Tùy chỉnh trang chủ admin và thực hiện chức năng đăng nhập cho admin смотреть онлайн
38:42

Flask Login - Tùy chỉnh trang chủ admin và thực hiện chức năng đăng nhập cho admin

Python алгоритмические задачи 16 просмотров
Spring Boot APP With Splunk Integration |Log4j | Realtime logs analysis using Splunk | EnggAdda смотреть онлайн
41:19

Spring Boot APP With Splunk Integration |Log4j | Realtime logs analysis using Splunk | EnggAdda

Python алгоритмические задачи 16 просмотров
Fundamentals of Programming Part-19 (Bit shifting) Urdu | Hindi смотреть онлайн
10:14

Fundamentals of Programming Part-19 (Bit shifting) Urdu | Hindi

Python алгоритмические задачи 21 просмотров
Пистолет Кольт 1911 45 калибра, Colt M1911 pistol, USA 1911, Denix 1227 смотреть онлайн
00:58

Пистолет Кольт 1911 45 калибра, Colt M1911 pistol, USA 1911, Denix 1227

Python алгоритмические задачи 341 просмотров
Python Interview Question Answer : Part-5 смотреть онлайн
10:12

Python Interview Question Answer : Part-5

Python алгоритмические задачи 22 просмотров
Network engineer interview - How to prepare for coding session смотреть онлайн
05:33

Network engineer interview - How to prepare for coding session

Python алгоритмические задачи 16 просмотров
Download All GST Return in One Click смотреть онлайн
04:19

Download All GST Return in One Click

Python алгоритмические задачи 16 просмотров
Monty python holy grail black knight 3 right leg смотреть онлайн
00:07

Monty python holy grail black knight 3 right leg

Python алгоритмические задачи 16 просмотров
Generating model summary in PyTorch like Keras смотреть онлайн
06:33

Generating model summary in PyTorch like Keras

Python алгоритмические задачи 16 просмотров
Python Turtle - Lesson 01: Start From The Square [海龟绘图 第1课: 从正方形开始] смотреть онлайн
06:07

Python Turtle - Lesson 01: Start From The Square [海龟绘图 第1课: 从正方形开始]

Python алгоритмические задачи 16 просмотров
Назад Вперед

За каждым успешным каналом стоит личность, идея и сотни часов кропотливого труда. Если вы здесь, значит, автор «Python алгоритмические задачи» уже сумел зацепить ваше внимание своим уникальным стилем или подачей. А мы на RUVIDEO позаботились о том, чтобы вы могли изучить весь архив его работ в максимально комфортных условиях — без лишней суеты и преград.

Почему за работами канала «Python алгоритмические задачи» так интересно наблюдать? Всё просто: это честный контент, который находит отклик в сердцах зрителей. На нашем ресурсе вы можете смотреть онлайн все видео любимого автора бесплатно и в хорошем качестве. Нам важно, чтобы вы видели каждую деталь и слышали каждый нюанс, поэтому мы используем только стабильные плееры из открытых источников Rutube.

Следите за новинками канала, пересматривайте старые шедевры и открывайте для себя новые грани творчества «Python алгоритмические задачи». Мы постоянно обновляем ленту, чтобы у вас под рукой всегда были самые свежие выпуски. Никаких сложных регистраций — только вы и творчество, которое вдохновляет. Приятного вам путешествия по миру авторского контента на RUVIDEO!

Видео взято из открытых источников Rutube. Если вы правообладатель, обратитесь к первоисточнику.