RUVIDEO

Автор: JavaScript и мультиязычность Страница 3

[GIT] [#130] [Pump It Up XX] [#128] Hellfire S11 (A) смотреть онлайн
02:38

[GIT] [#130] [Pump It Up XX] [#128] Hellfire S11 (A)

JavaScript и мультиязычность 18 просмотров
Инициал Ди / Initial D (頭文字D) Champion смотреть онлайн
03:11

Инициал Ди / Initial D (頭文字D) Champion

JavaScript и мультиязычность 61 просмотров
The Git Up by Blanco Brown Full Dance Tutorial #thegitup #dancetutorialstepbystep #dance #athome смотреть онлайн
03:59

The Git Up by Blanco Brown Full Dance Tutorial #thegitup #dancetutorialstepbystep #dance #athome

JavaScript и мультиязычность 16 просмотров
AYSEL GİT BAŞIMDAN -Bülent ÖLÇER смотреть онлайн
05:00

AYSEL GİT BAŞIMDAN -Bülent ÖLÇER

JavaScript и мультиязычность 17 просмотров
Evie.Codes LiveStream - Working on the Snowflake Blog смотреть онлайн
01:28:42

Evie.Codes LiveStream - Working on the Snowflake Blog

JavaScript и мультиязычность 16 просмотров
How to sing a song in track in Nepali|How to remove vocal from any song track using karaoke Nepali смотреть онлайн
04:09

How to sing a song in track in Nepali|How to remove vocal from any song track using karaoke Nepali

JavaScript и мультиязычность 16 просмотров
Ubuntu: Error installing avogadro with CMake 'lconvert: could not exec No such file or directory' смотреть онлайн
01:53

Ubuntu: Error installing avogadro with CMake 'lconvert: could not exec No such file or directory'

JavaScript и мультиязычность 16 просмотров
INF200: Registering for GitHub and installing GitKraken смотреть онлайн
04:01

INF200: Registering for GitHub and installing GitKraken

JavaScript и мультиязычность 16 просмотров
Cash Is CRYING In Minecraft! смотреть онлайн
17:38

Cash Is CRYING In Minecraft!

JavaScript и мультиязычность 16 просмотров
hunting bugs in the simple64 emulator | https://simple64.github.io/ смотреть онлайн
03:53:31

hunting bugs in the simple64 emulator | https://simple64.github.io/

JavaScript и мультиязычность 16 просмотров
bitBucket with Git смотреть онлайн
08:55

bitBucket with Git

JavaScript и мультиязычность 16 просмотров
zoom error 1001 :'') (hesapsız :) ) смотреть онлайн
02:05

zoom error 1001 :'') (hesapsız :) )

JavaScript и мультиязычность 17 просмотров
how to install and use termux login password смотреть онлайн
04:57

how to install and use termux login password

JavaScript и мультиязычность 22 просмотров
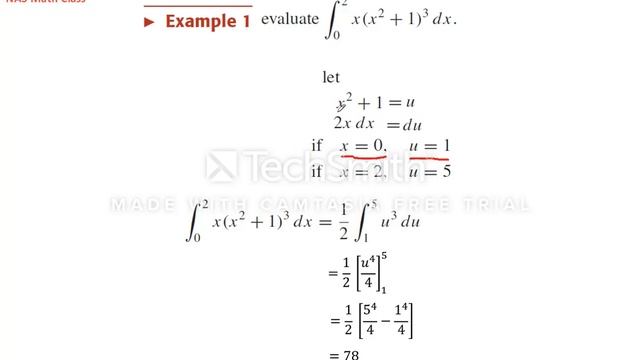
Evaluating Definite Integrals an Example in bangla смотреть онлайн
02:51

Evaluating Definite Integrals an Example in bangla

JavaScript и мультиязычность 16 просмотров
Branch's, Checkout, Merge, Squash e Rebase | Curso de Git e Github смотреть онлайн
28:31

Branch's, Checkout, Merge, Squash e Rebase | Curso de Git e Github

JavaScript и мультиязычность 16 просмотров
how to compile kali nethunter kernel for android easy guide смотреть онлайн
16:29

how to compile kali nethunter kernel for android easy guide

JavaScript и мультиязычность 28 просмотров
DbSchema Model смотреть онлайн
02:49

DbSchema Model

JavaScript и мультиязычность 17 просмотров
Deploy Web App in Azure App Service using zero touch CI CD | Azure DevOps Labs | Telugu смотреть онлайн
47:35

Deploy Web App in Azure App Service using zero touch CI CD | Azure DevOps Labs | Telugu

JavaScript и мультиязычность 16 просмотров
Git Interview Questions | Git Real-Time Interview Questions & Answers | DevOps Tools | Git | Part 2 смотреть онлайн
05:14

Git Interview Questions | Git Real-Time Interview Questions & Answers | DevOps Tools | Git | Part 2

JavaScript и мультиязычность 16 просмотров
Git Gud - Warhammer 40,000: Space Marine Part 5 смотреть онлайн
01:38:28

Git Gud - Warhammer 40,000: Space Marine Part 5

JavaScript и мультиязычность 16 просмотров
How to fix known host Error in SSH | antotechniques смотреть онлайн
01:19

How to fix known host Error in SSH | antotechniques

JavaScript и мультиязычность 19 просмотров
Poppy Playtime Chapter 1 Explained: Ending, Hidden Details, and Secrets - ADVANCED IN DEPTH ANALYSI смотреть онлайн
21:30

Poppy Playtime Chapter 1 Explained: Ending, Hidden Details, and Secrets - ADVANCED IN DEPTH ANALYSI

JavaScript и мультиязычность 17 просмотров
Unreal Engine GitHub Sayfasına Nasıl Erişim Sağlanır? - Unreal Engine 4 Hızlı Ders смотреть онлайн
12:31

Unreal Engine GitHub Sayfasına Nasıl Erişim Sağlanır? - Unreal Engine 4 Hızlı Ders

JavaScript и мультиязычность 16 просмотров
Elastic beanstalk rails application with git source and deploy hooks (2 Solutions!!) смотреть онлайн
03:03

Elastic beanstalk rails application with git source and deploy hooks (2 Solutions!!)

JavaScript и мультиязычность 16 просмотров
Назад Вперед

За каждым успешным каналом стоит личность, идея и сотни часов кропотливого труда. Если вы здесь, значит, автор «JavaScript и мультиязычность» уже сумел зацепить ваше внимание своим уникальным стилем или подачей. А мы на RUVIDEO позаботились о том, чтобы вы могли изучить весь архив его работ в максимально комфортных условиях — без лишней суеты и преград.

Почему за работами канала «JavaScript и мультиязычность» так интересно наблюдать? Всё просто: это честный контент, который находит отклик в сердцах зрителей. На нашем ресурсе вы можете смотреть онлайн все видео любимого автора бесплатно и в хорошем качестве. Нам важно, чтобы вы видели каждую деталь и слышали каждый нюанс, поэтому мы используем только стабильные плееры из открытых источников Rutube.

Следите за новинками канала, пересматривайте старые шедевры и открывайте для себя новые грани творчества «JavaScript и мультиязычность». Мы постоянно обновляем ленту, чтобы у вас под рукой всегда были самые свежие выпуски. Никаких сложных регистраций — только вы и творчество, которое вдохновляет. Приятного вам путешествия по миру авторского контента на RUVIDEO!

Видео взято из открытых источников Rutube. Если вы правообладатель, обратитесь к первоисточнику.